Chapter 1: Structure and Bonding
Q1.
While the most common isotope of nitrogen has a mass number of 14 (nitrogen-14), a radioactive isotope of nitrogen has a mass number of 13 (nitrogen-13). Nitrogen-13 is used in PET (positron emission tomography) scans by physicians to monitor brain activity and diagnose dementia. For each isotope, give the following information: (a) the number of protons; (b) the number of neutrons; (c) the number of electrons in the neutral atom; (d) the group number; and (e) the number of valence electrons.
Q1.
Question: While the most common isotope of nitrogen has a mass number of 14 (nitrogen-14), a radioactive isotope of nitrogen has a mass number of 13 (nitrogen-13). Nitrogen-13 is used in PET (positron emission tomography) scans by physicians to monitor brain activity and diagnose dementia. For each isotope, give the following information: (a) the number of protons; (b) the number of neutrons; (c) the number of electrons in the neutral atom; (d) the group number; and (e) the number of valence electrons.
Q10.
Question: Classify each pair of compounds as isomers or resonance structures
a.
b. 
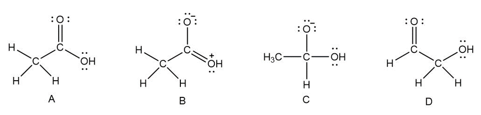
Q11.
Question: Considering structures, A–D, classify each pair of compounds as isomers, resonance structures, or neither: (a) A and B; (b) A and C; (c) A and D; (d) B and D.

Q12.
Question: Follow the curved arrows to draw a second resonance structure for each species.
a. 
b.
Q13.
Question: Use curved arrow notation to show how the first resonance structure can be converted to the second.
a.
b.
Q14.
Question: Draw a second resonance structure for each species in parts (a) and (b). Draw two additional resonance structures for the ion in part (c).
a.
b.
c.
Q15.
Question: Label the resonance structures in each pair as major, minor, or equal contributors to the hybrid. Then draw the hybrid.
a. 
b.
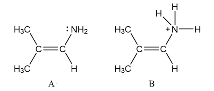
Q16.
Question: (a) Draw a second resonance structure for A. (b) Why can’t a second resonance
structure be drawn for B?

Q17.
Question: Determine the geometry around all second-row elements in each compound drawn as a Lewis structure with no implied geometry.
a.
b. 
c. 
d.