Chapter 1: Q14. (page 24)
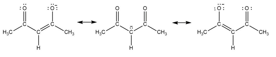
Question: Draw a second resonance structure for each species in parts (a) and (b). Draw two additional resonance structures for the ion in part (c).
a.
b.
c.
Short Answer
Answer

a.
b. 
c.
















