Chapter 24: Carbonyl Condensation Reactions
Q.1.
Question: Draw the aldol product formed from each compound.
Q.10.
Question: What carbonyl starting materials are needed to prepare each compound using a directed aldol reaction?
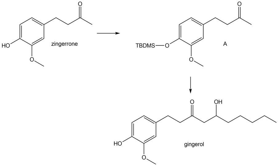
Q.11.
Question: Zingerone, a spicy-sweet component of cooked ginger, can be converted to its protected TBDMS ether A, as we learned in Chapter 20. How can A be converted to gingerol, a compound present in fresh ginger, using a directed aldol reaction as a key step?

Q.12.
Question: A key step in the synthesis of donepezil (trade name Aricept) is a directed aldol reaction that forms -unsaturated carbonyl compound X. What carbonyl starting materials are needed to prepare X using a directed aldol reaction? What reagents are needed to convert X to donepezil?

Q.13.
Question: Draw a stepwise mechanism for the conversion of heptane-2,6-dione to 3-methylcyclohex-2-enone with NaOEt, EtOH.
Q.14.
Question: What cyclic product is formed when each 1,5-dicarbonyl compound is treated with aqueous ?
Q.15.
Question: Following the two-step reaction sequence depicted in Figure 24.5, write out the steps needed to convert A to B.

Q.16.
Question: What β-keto ester is formed when each ester is used in a Claisen reaction?

Q.17.
Question: What crossed Claisen product is formed from each pair of compounds?
a.

b.

Q.18.
Question: Avobenzone is a conjugated compound that absorbs ultraviolet light with wavelengths in the 320–400 nm region, so it is a common ingredient in commercial sunscreens. Write out two different crossed Claisen reactions that form avobenzone.
