Chapter 5: Q16E (page 212)
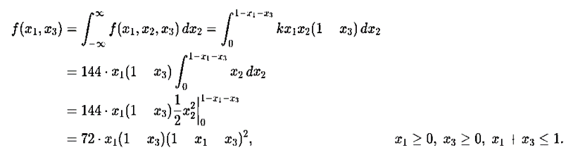
a. For \({\rm{f}}\)(\({{\rm{X}}_{\rm{1}}}{\rm{,}}{{\rm{X}}_{\rm{2}}}{\rm{,}}{{\rm{X}}_{\rm{3}}}\)) as given in Example \({\rm{5}}{\rm{.10}}\), compute the joint marginal density function of \({{\rm{X}}_{\rm{1}}}{\rm{and}}{{\rm{X}}_{\rm{3}}}\)alone (by integrating over x2).
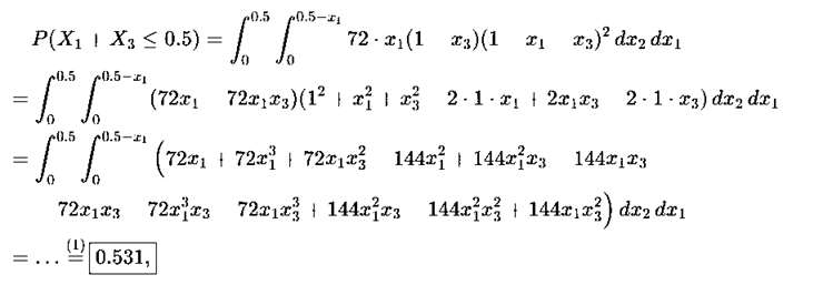
b. What is the probability that rocks of types \({\rm{1 and 3}}\)together make up at most \({\rm{50\% }}\)of the sample? (Hint: Use the result of part (a).)
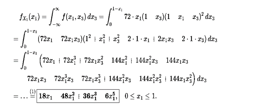
c. Compute the marginal pdf of \({{\rm{X}}_{\rm{1}}}\) alone. (Hint: Use the result of part (a).)
Short Answer
\(\text{f}\left({{\text{x}}_{\text{1}}}\text{,}{{\text{x}}_{\text{3}}}\right)\text{=}\left\{\begin{matrix}\text{72}\!\!\times\!\!\text{}{{\text{x}}_{\text{1}}}\left(\text{1}{{\text{x}}_{\text{3}}}\right){{\left(\text{1}{{\text{x}}_{\text{1}}}\text{}{{\text{x}}_{\text{3}}}\right)}^{\text{2}}}\text{,}{{\text{x}}_{\text{1}}}\text{}\!\!{}^\text{3}\!\!\text{0,}{{\text{x}}_{\text{3}}}\text{}\!\!{}^\text{3}\!\!\text{0,}{{\text{x}}_{\text{1}}}\text{+}{{\text{x}}_{\text{3}}}\text{拢1}\\\text{,}\!\!~\!\!\text{otherwise}\!\!~\!\!\text{}\\\end{matrix} \right.\)..
2.\({\rm{P}}\left( {{{\rm{X}}_{\rm{1}}}{\rm{ + }}{{\rm{X}}_{\rm{3}}}{\rm{拢0}} {\rm{.5}}} \right){\rm{ = 0}}{\rm{.531;}}\)
3. \({\rm{f}}\left( {{{\rm{x}}_{\rm{1}}}} \right){\rm{ = }}\left\{ {\begin{aligned}{*{20}{c}}{{\rm{18}}{{\rm{x}}_{\rm{1}}}{\rm{ - 48x}}_{\rm{1}}^{\rm{2}}{\rm{ + 36x}}_{\rm{1}}^{\rm{3}}{\rm{ - 6x}}_{\rm{1}}^{\rm{5}}{\rm{,0拢}}{ {\rm{x}}_{\rm{1}}}{\rm{拢1}}}\\{{\rm{,\;otherwise\;}}}\end{aligned}} \right.\)



