Chapter 7: Linear programming and reductions
Q2E
Question: Duckwheat is produced in Kansas and Mexico and consumed in New York and California. Kansas produces 15 shnupells of duckwheat and Mexico 8. Meanwhile, New York consumes 10 shnupells and California 13. The transportation costs per shnupell are \(4 from Mexico to New York, \)1 from Mexico to California, \(2 from Kansas to New York, and \)3 and from Kansas to California. Write a linear program that decides the amounts of duckwheat (in shnupells and fractions of a shnupell) to be transported from each producer to each consumer, so as to minimize the overall transportation cost
Q.30E
Hall’s theorem. Returning to the matchmaking scenario of Section 7.3, suppose we have a bipartite graph with boys on the left and an equal number of girls on the right. Hall’s theorem says that there is a perfect matching if and only if the following condition holds: any subset of boys is connected to at least girls.
Prove this theorem. (Hint: The max-flow min-cut theorem should be helpful.)
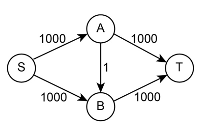
Q31E
Question: Consider the following simple network with edge capacities as shown.
a) Show that, if the Ford-Fulkerson algorithm is run on this graph, a careless choice of updates might cause it to take 1000iterations. Imagine if the capacities were a million instead of 1000.
We will now find a strategy for choosing paths under which the algorithm is guaranteed to terminate in a reasonable number of iterations.
Consider an arbitrary directed network in which we want to find the maximum flow.Assume for simplicity that all edge capacities are at least 1, and define the capacity of an s - t path to be the smallest capacity of its constituent edges. The fattest path from s to t is the path with the most capacity.
b) Show that the fattest s - t path in a graph can be computed by a variant of Dijkstra’s algorithm.
c) Show that the maximum flow in Gis the sum of individual flows along at mostpaths from s to t.
d) Now show that if we always increase flow along the fattest path in the residual graph, then the Ford-Fulkerson algorithm will terminate in at most iterations, where F is the size of the maximum flow. (Hint: It might help to recall the proof for the greedy set cover algorithm in Section 5.4.)
In fact, an even simpler rule—finding a path in the residual graph using breadth-first search— guarantees that atmost iterations will be needed.

Q3E
A cargo plane can carry a maximum weight of 100 tons and a maximum volume of 60 cubic meters. There are three materials to be transported, and the cargo company may choose to carry any amount of each, up to the maximum available limits given below.
- Material 1 has density meters, maximum available amount 40 cubic meters, and revenue \(1,000 per cubic meter.
- Material 2 has density meters,maximum available amount 30 cubic meters, and revenue \)1,200 per cubic meter.
- Material 3 has density meters, maximum available amount 20 cubic meters, and revenue $12,000 per cubic meter.
Write a linear program that optimizes revenue within the constraints.
Q4E
Moe is deciding how much Regular Duff beer and how much Duff Strong beer to order each week. Regular Duff costs Moe \(1 per pint and he sells it at \)2 per pint; Duff Strong costs Moe $1.50 per pint and he sells it at per pint. However, as part of a complicated marketing scam, the Duff company will only sell a pint of Duff Strong for each two pints or more of Regular Duff that Moe buys. Furthermore, due to past events that are better left untold, Duff will not sell Moe more than 3,000 pints per week. Moe knows that he can sell however much beer he has. Formulate a linear program for deciding how much Regular Duff and how much Duff Strong to buy, so as to maximize Moe’s profit. Solve the program geometrically.
Q5E
The Canine Products company offers two dog foods, Frisky Pup and Husky Hound, that are made from a blend of cereal and meat. A package of Frisky Pup requires 1 pound of cereal and pounds of meat, and sells for . A package of Husky Hound uses 2 pounds of cereal and 1 pound of meat, and sells for . Raw cereal costsper pound and raw meat costsper pound. It also costslocalid="1658981348093" to package the Frisky Pup and localid="1658981352345" to package the Husky Hound. A total of localid="1658981356694" pounds of cereal and pounds of meat are available each month. The only production bottleneck is that the factory can only package bags of Frisky Pup per month. Needless to say, management would like to maximize profit.
(a) Formulate the problem as a linear program in two variables.
(b) Graph the feasible region, give the coordinates of every vertex, and circle the vertex maximizing profit. What is the maximum profit possible?
Q6E
Give an example of a linear program in two variables whose feasible region is infinite, but such that there is an optimum solution of bounded cost.
Q7E
Find necessary and sufficient conditions on the reals a and b under which the linear program
(a) Is infeasible.
(b) Is unbounded.
(c) Has a unique optimal solution.
Q8E
You are given the following points in the plane:
.You want to find a line that approximately passes through these points (no line is a perfect fit). Write a linear program (you don’t need to solve it) to find the line that minimizes the maximum absolute error,
Q9E
A quadratic programming problem seeks to maximize a quadratic objective function (with terms like ) subject to a set of linear constraints. Give an example of a quadratic program in two variables x1, x2 such that the feasible region is nonempty and bounded, and yet none of the vertices of this region optimize the (quadratic) objective.