Chapter 7: Q6E (page 240)
Give an example of a linear program in two variables whose feasible region is infinite, but such that there is an optimum solution of bounded cost.
Short Answer
Example 1:
Example 2:
/*! This file is auto-generated */ .wp-block-button__link{color:#fff;background-color:#32373c;border-radius:9999px;box-shadow:none;text-decoration:none;padding:calc(.667em + 2px) calc(1.333em + 2px);font-size:1.125em}.wp-block-file__button{background:#32373c;color:#fff;text-decoration:none}
Learning Materials
Features
Discover
Chapter 7: Q6E (page 240)
Give an example of a linear program in two variables whose feasible region is infinite, but such that there is an optimum solution of bounded cost.
Example 1:
Example 2:
All the tools & learning materials you need for study success - in one app.
Get started for free
There are many common variations of the maximum flow problem. Here are four of them.
(a) There are many sources and many sinks, and we wish to maximize the total flow from all sources to all sinks.
(b) Each vertex also has a capacity on the maximum flow that can enter it.
(c) Each edge has not only a capacity, but also a lower bound on the flow it must carry.
(d) The outgoing flow from each node u is not the same as the incoming flow, but is smaller by a factor of , whererole="math" localid="1659789093525" is a loss coefficient associated with node u.
Each of these can be solved efficiently. Show this by reducing (a) and (b) to the original max-flow problem, and reducing (c) and (d) to linear programming.
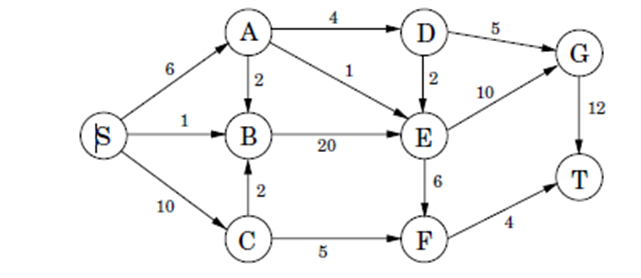
For the following network, with edge capacities as shown, find the maximum flow from S to T, along with a matching cut.

Direct bipartite matching. We’ve seen how to find a maximum matching in a bipartite graph via reduction to the maximum flow problem. We now develop a direct algorithm.
Let be a bipartite graph (so each edge has one endpoint in and one endpoint in ), and letbe a matching in the graph (that is, a set of edges that don’t touch). A vertex is said to be covered byif it is the endpoint of one of the edges in . An alternating path is a path of odd length that starts and ends with a non-covered vertex, and whose edges alternate between and .
(a) In the bipartite graph below, a matching is shown in bold. Find an alternating path.
(b) Prove that a matchingis maximal if and only if there does not exist an alternating path with respect to it.
(c) Design an algorithm that finds an alternating path intime using a variant of breadth-first search.
(d) Give a directalgorithm for finding a maximal matching in a bipartite graph.
Find necessary and sufficient conditions on the reals a and b under which the linear program
(a) Is infeasible.
(b) Is unbounded.
(c) Has a unique optimal solution.
Hollywood. A film producer is seeking actors and investors for his new movie. There are available actors; actor charges dollars. For funding, there are available investors. Investor will provide dollars, but only on the condition that certain actors are included in the cast (all of these actors must be chosen in order to receive funding from investorrole="math" localid="1658404523817" ).
The producer’s profit is the sum of the payments from investors minus the payments to actors. The goal is to maximize this profit.
(a) Express this problem as an integer linear program in which the variables take on values .
(b) Now relax this to a linear program, and show that there must in fact be an integral optimal solution (as is the case, for example, with maximum flow and bipartite matching).
What do you think about this solution?
We value your feedback to improve our textbook solutions.