Chapter 3: Decompositions of graphs
21E
Give a linear-time algorithm to find an odd-length cycle in a directed graph. (Hint: First solve this problem under the assumption that the graph is strongly connected.)
22E
Give an efficient algorithm which takes as input a directed graph and determines whether or not there is a vertex from which all other vertices are reachable.
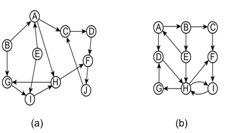
4E
Run the strongly connected components algorithm on the following directed graphs G. When doing DFS on GR: whenever there is a choice of vertices to explore, always pick the one that is alphabetically first.

In each case answer the following questions.
(a) In what order are the strongly connected components (SCCs) found?
(b) Which are source SCCs and which are sink SCCs?
(c) Draw the 鈥渕etagraph鈥 (each meta-node is an SCC of G).
(d) What is the minimum number of edges you must add to this graph to make it strongly connected
Q10E
Rewrite the explore procedure (Figure 3.3) so that it is non-recursive (that is, explicitly use a stack). The calls to pre visit and post visit should be positioned so that they have the same effect as in the recursive procedure.
Q11E
Design a linear-time algorithm which, given an undirected graph G and a particular edge in it, determines whetherhas a cycle containing.
Q12E
Either prove or give a counterexample: if {u,v}is an edge in an undirected graph, and during depth-first search (u)<post (v), then vis an ancestor of uin the DFS tree.
Q13E
Question:Undirected vs. directed connectivity.
(a) Prove that in any connected undirected graph G =(V , E)there is a vertex whose removal leaves G connected. (Hint: Consider the DFS search tree for G.)
(b) Give an example of a strongly connected directed graph G(V ,E)such that, for every, removing v from G leaves a directed graph that is not strongly connected.
(c) In an undirected graph with two connected components it is always possible to make the graph connected by adding only one edge. Give an example of a directed graph with two strongly connected components 0 such that no addition of one edge can make the graph strongly connected.
Q14E
The chapter suggests an alternative algorithm for linearization (topological sorting), which repeatedly removes source nodes from the graph (page 101). Show that this algorithm can be implemented in linear time.
Q15E
The police department in the city of Computopia has made all streets one-way. The mayor contends that there is still a way to drive legally from any intersection in the city to any other intersection, but the opposition is not convinced. A computer program is needed to determine whether the mayor is right. However, the city elections are coming up soon, and there is just enough time to run a linear-time algorithm.
a) Formulate this problem graph-theoretically, and explain why it can indeed be solved in linear time.
(b) Suppose it now turns out that the mayor鈥檚 original claim is false. She next claims something weaker: if you start driving from town hall, navigating one-way streets, then no matter where you reach, there is always a way to drive legally back to the town hall. Formulate this weaker property as a graph-theoretic problem, and carefully show how it too can be checked in linear time.
Q16E
Suppose a CS curriculum consists of n courses, all of them mandatory. The prerequisite graph G has a node for each course, and an edge from course v to course w if and only if v is a prerequisite for w. Find an algorithm that works directly with this graph representation, and computes the minimum number of semesters necessary to complete the curriculum (assume that a student can take any number of courses in one semester). The running time of your algorithm should be linear.