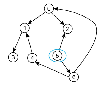
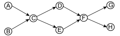
Chapter 3: 22E (page 110)
Give an efficient algorithm which takes as input a directed graph and determines whether or not there is a vertex from which all other vertices are reachable.
Short Answer
Algorithm takes as input a directed graph G(V,E) and determines whether or not there is a vertexfrom which all other vertices are reachable is proved.


