Chapter 3: 4E (page 106)
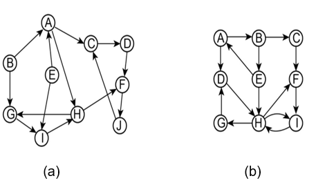
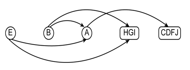
Run the strongly connected components algorithm on the following directed graphs G. When doing DFS on GR: whenever there is a choice of vertices to explore, always pick the one that is alphabetically first.

In each case answer the following questions.
(a) In what order are the strongly connected components (SCCs) found?
(b) Which are source SCCs and which are sink SCCs?
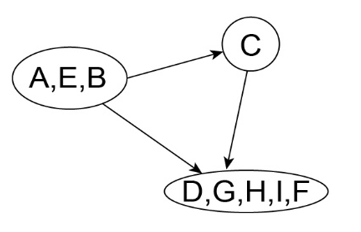
(c) Draw the 鈥渕etagraph鈥 (each meta-node is an SCC of G).
(d) What is the minimum number of edges you must add to this graph to make it strongly connected
Short Answer
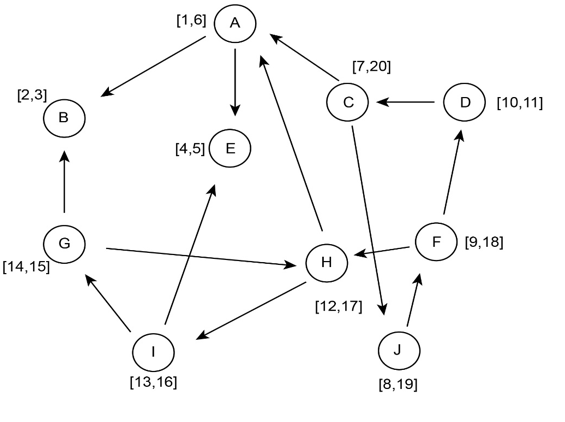
(a) The order of the strongly connected components are:
The order of the strongly connected components in the second graph are:
(b) The source of the first graph is .
The sink of the first graph is .
The source of the second graph is .
The sink of the second graph is.
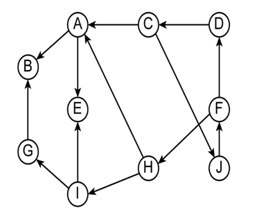
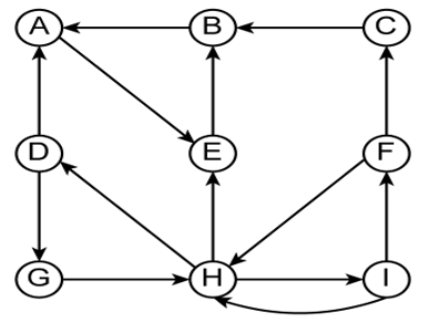
(c) The 鈥渕etagraph鈥 of both graphs is possible.
(d) The minimum number of edges in the graph to make it strongly connected is two. And the minimum number of edges in the graph to make it strongly connected is also two.






