Chapter 7: Linear programming and reductions
Q10E
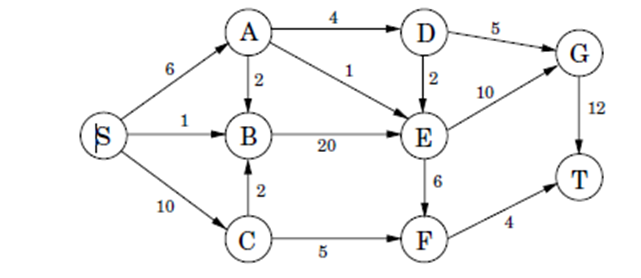
For the following network, with edge capacities as shown, find the maximum flow from S to T, along with a matching cut.

Q11E
Write the dual to the following linear program.
Find the optimal solutions to both primal and dual LPs
Q12E
For the linear program
Prove that the solution is optimal
Q13E
Matching pennies. In this simple two-player game, the players (call them and ) each choose an outcome, heads or tails. If both outcomes are equal, gives a dollar to ; if the outcomes are different, gives a dollar to .
(a) Represent the payoffs by a matrix.
(b) What is the value of this game, and what are the optimal strategies for the two players?
Q14.E
The pizza business in Little Town is split between two rivals, Tony and Joey. They are each investigating strategies to steal business away from the other. Joey is considering either lowering prices or cutting bigger slices. Tony is looking into starting up a line of gourmet pizzas, or offering outdoor seating, or giving free sodas at lunchtime. The effects of these various strategies are summarized in the following payoff matrix (entries are dozens of pizzas, Joey鈥檚 gain and Tony鈥檚 loss).
TONY | ||||
Gourmet | Seating | Freesoda | ||
JOEY | Lower price | +2 | 0 | -3 |
BiggerSlices | _1 | -2 | +1 |
For instance, if Joey reduces prices and Tony goes with the gourmet option, then Tony will lose 2 dozen pizzas worth of nosiness to Joey.
What is the value of this game, and what are the optimal strategies for Tony and Joey?
Q15E
Find the value of the game specified by the following payoff matrix.
(Hint: Consider the mixed strategies and ))
Q17E
Consider the following network (the numbers are edge capacities).

(a)Find the maximum flow and a minimum cut.
(b)Draw the residual graph (along with its edge capacities). In this residual network, mark the vertices reachable from and the vertices from which is reachable.
(c)An edge of a network is called a bottleneck edge if increasing its capacity results in an increase in the maximum flow. List all bottleneck edges in the above network.
(d)Give a very simple example (containing at most four nodes) of a network which has no bottleneck edges.
(e)Give an efficient algorithm to identify all bottleneck edges in a network.
Q18E
There are many common variations of the maximum flow problem. Here are four of them.
(a) There are many sources and many sinks, and we wish to maximize the total flow from all sources to all sinks.
(b) Each vertex also has a capacity on the maximum flow that can enter it.
(c) Each edge has not only a capacity, but also a lower bound on the flow it must carry.
(d) The outgoing flow from each node u is not the same as the incoming flow, but is smaller by a factor of , whererole="math" localid="1659789093525" is a loss coefficient associated with node u.
Each of these can be solved efficiently. Show this by reducing (a) and (b) to the original max-flow problem, and reducing (c) and (d) to linear programming.
Q19E
Suppose someone presents you with a solution to the max-flow problem on some network. Give a linear-time algorithm to determine whether the solution does indeed give a maximum flow.
Q1E
Consider the following linear program.
maximize 5x+3y
Plot the feasible region and identify the optimal solution.