Chapter 7: Q17E (page 242)
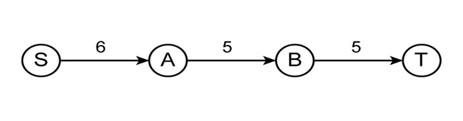
Consider the following network (the numbers are edge capacities).

(a)Find the maximum flow and a minimum cut.
(b)Draw the residual graph (along with its edge capacities). In this residual network, mark the vertices reachable from and the vertices from which is reachable.
(c)An edge of a network is called a bottleneck edge if increasing its capacity results in an increase in the maximum flow. List all bottleneck edges in the above network.
(d)Give a very simple example (containing at most four nodes) of a network which has no bottleneck edges.
(e)Give an efficient algorithm to identify all bottleneck edges in a network.
Short Answer
(a)The maximum flow is , and a min-cut is .
(b) The residual graph is as follows,

The vertices reachable from are and . The vertices reachable from are and .
(c)The bottleneck edges are and .
(d)Simple example of a network that has no bottleneck edges is as follows:

(e) Algorithm to identify bottleneck edges in the network:
Procedure Bottleneck
Input: Graph
Output: Bottleneck edges if exist
Perform max-flow min-cut in
Find Residual graph role="math" localid="1657972286397"
Let be the edge capacity of
Ifrole="math" localid="1657972299309" at
If both ends have positive residual capacity
Mark as bottleneck edge
Return




