Chapter 7: Q1E (page 239)
Consider the following linear program.
maximize 5x+3y
Plot the feasible region and identify the optimal solution.
Short Answer
The maximum value is 31 at (5,2) is the optimal solution and the feasible region is plotted.
/*! This file is auto-generated */ .wp-block-button__link{color:#fff;background-color:#32373c;border-radius:9999px;box-shadow:none;text-decoration:none;padding:calc(.667em + 2px) calc(1.333em + 2px);font-size:1.125em}.wp-block-file__button{background:#32373c;color:#fff;text-decoration:none}
Learning Materials
Features
Discover
Chapter 7: Q1E (page 239)
Consider the following linear program.
maximize 5x+3y
Plot the feasible region and identify the optimal solution.
The maximum value is 31 at (5,2) is the optimal solution and the feasible region is plotted.
All the tools & learning materials you need for study success - in one app.
Get started for free
Question: A linear program for shortest path. Suppose we want to compute the shortest path from node s to node t in a directed graph with edge lengths .
a) Show that this is equivalent to finding an s - tflow fthat minimizes subject to size (f) = 1. There are no capacity constraints.
b) Write the shortest path problem as a linear program.
c) Show that the dual LP can be written as
role="math" localid="1659250472483"
d) An interpretation for the dual is given in the box on page 223. Why isn’t our dual LP identical to the one on that page?
Hall’s theorem. Returning to the matchmaking scenario of Section 7.3, suppose we have a bipartite graph with boys on the left and an equal number of girls on the right. Hall’s theorem says that there is a perfect matching if and only if the following condition holds: any subset of boys is connected to at least girls.
Prove this theorem. (Hint: The max-flow min-cut theorem should be helpful.)
Show that the change-making problem (Exercise) can be formulated as an integer linear program. Can we solve this program as an LP, in the certainty that the solution will turn out to be integral (as in the case of bipartite matching)? Either prove it or give a counterexample.
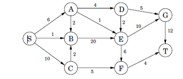
For the following network, with edge capacities as shown, find the maximum flow from S to T, along with a matching cut.

Give an example of a linear program in two variables whose feasible region is infinite, but such that there is an optimum solution of bounded cost.
What do you think about this solution?
We value your feedback to improve our textbook solutions.