Chapter 7: Q31E (page 245)
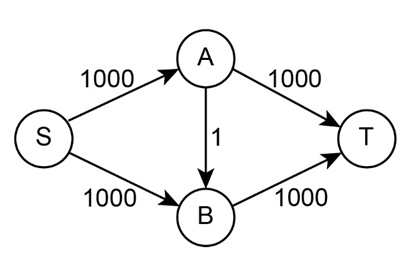
Question: Consider the following simple network with edge capacities as shown.
a) Show that, if the Ford-Fulkerson algorithm is run on this graph, a careless choice of updates might cause it to take 1000iterations. Imagine if the capacities were a million instead of 1000.
We will now find a strategy for choosing paths under which the algorithm is guaranteed to terminate in a reasonable number of iterations.
Consider an arbitrary directed network in which we want to find the maximum flow.Assume for simplicity that all edge capacities are at least 1, and define the capacity of an s - t path to be the smallest capacity of its constituent edges. The fattest path from s to t is the path with the most capacity.
b) Show that the fattest s - t path in a graph can be computed by a variant of Dijkstra’s algorithm.
c) Show that the maximum flow in Gis the sum of individual flows along at mostpaths from s to t.
d) Now show that if we always increase flow along the fattest path in the residual graph, then the Ford-Fulkerson algorithm will terminate in at most iterations, where F is the size of the maximum flow. (Hint: It might help to recall the proof for the greedy set cover algorithm in Section 5.4.)
In fact, an even simpler rule—finding a path in the residual graph using breadth-first search— guarantees that atmost iterations will be needed.

Short Answer
(a) It iterates 2000 times.
(b) It can be shown that the fattest path in a graph can be computed by modifying Dijkstra’s algorithm.
(c) It can be shown that maximum flow in G is the sum of individual flows along at most paths from s to t.
(d) Yes, The flow can be increased along the fattest path in at most iterations.