Chapter 3: Decompositions of graphs
Q29E
Let be a finite set. A binary relation on S is simply a collection R of ordered pairs . For instance, S might be a set of people, and each such pair might mean 鈥 x knows y 鈥.
An equivalence relationis a binary relation which satisfies three properties:
- Reflexivity: localid="1659006645990" for all
- Symmetry: If then
- Transitivity: if and then localid="1659006784500"
For instance, the binary relation 鈥渉as the same birthday as鈥 is an equivalence relation, whereas 鈥渋s the father of鈥 is not, since it violates all three properties.
Show that an equivalence relation partition set S into disjoint groups (in other words, ) such that:
- Any two members of a group are related, that is, for any localid="1659006702579" , for any i .
- Members of different groups are not related, that is, for all , for all localid="1659006762355" and, we have .
(Hint: Represent an equivalence relation by an undirected graph.)
Q2E
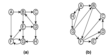
Perform depth-first search on each of the following graphs; whenever there鈥檚 a choice of vertices, pick the one that is alphabetically first. Classify each edge as a tree edge, forward edge, back edge, or cross edge, and give the pre and post number of each vertex.

Q30E
On page 102, we defined the binary relation 鈥渃onnected鈥 on the set of vertices of a directedgraph. Show that this is an equivalence relation(see Exercise 3.29), and conclude that it partitions the vertices into disjoint strongly connected components.
Q31E
Biconnected componentsLet G=(V,E) be an undirected graph. For any two edges, we鈥檒l sayif eitheror there is a (simple) cycle containing both e and e'.
a. Show that : is an equivalence relation (recall Exercise 3.29) on the edges.
The equivalence classes into which this relation partitions the edges are called the biconnected components of G . A bridge is an edge which is in a biconnected component all by itself.
A separating vertexis a vertex whose removal disconnects the graph.
b. Partition the edges of the graph below into biconnected components, and identify the bridges and separating vertices.
Not only do biconnected components partition the edges of the graph, they almost partition the vertices in the following sense.
c. Associate with each biconnected component all the vertices that are endpoints of its edges. Show that the vertices corresponding to two different biconnected components are either disjoint or intersect in a single separating vertex.
d. Collapse each biconnected component into a single meta-node, and retain individual nodes for each separating vertex. (So there are edges between each component node and its separating vertices.) Show that the resulting graph is a tree.
DFS can be used to identify the biconnected components, bridges, and separating vertices of a graph in linear time.
e. Show that the root of the DFS tree is a separating vertex if and only if it has more than one child in the tree.
f. Show that a non-root vertex v of the DFS tree is a separating vertex if and only if it has a child v' none of whose descendants (including itself) has a back edge to a proper ancestor of v .
g. For each vertex u define:
Where (v,w) is a back edge for some descendant v of u.
(h) Show how to compute all separating vertices, bridges, and biconnected components of a graph in linear time.
Q3E
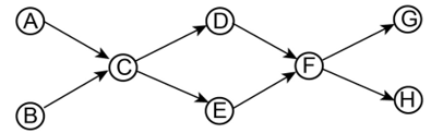
Run the DFS-based topological ordering algorithm on the following graph. Whenever you have a choice of vertices to explore, always pick the one that is alphabetically first.

(a) Indicate the pre and post numbers of the nodes.
(b) What are the sources and sinks of the graph?
(c) What topological ordering is found by the algorithm?
(d) How many topological orderings does this graph have?
Q5E
The reverse of a directed graph G = (V,E) is another directed graph on the same vertex set, but with all edges reversed that is, . Give a linear-time algorithm for computing the reverse of a graph in adjacency list format.
Q6E
In an undirected graph, the of a vertex u is the number of neighbours u is the number of neighbors u has, or equivalently, the number of edges incident upon it. In a directed graph, we distinguish between the , which is the number of edges into u, and the , the number of the edges leaving u.
(a) Show that in an undirected graph, role="math" localid="1658908755010"
(b) Use part (a) to show that in an undirected graph, there must be an even number of vertices whose degree is odd.
(c) Does a similar statement hold for the number of vertices with odd indegree in a directed graph?
Q7E
A bipartite graph is a graph whose vertices can be partitioned into two sets such that there are no edges between vertices in the same set (for instance, if , then there is no edge between and ).
(a) Give a linear-time algorithm to determine whether an undirected graph is bipartite.
(b) There are many other ways to formulate this property. For instance, an undirected graph is bipartite if and only if it can be colored with just two colors. Prove the following formulation:
an undirected graph is bipartite if and only if it contains no cycles of odd length.
(c) At most how many colors are needed to color in an undirected graph with exactly one odd length?
Q8E
Pouring water.
We have three containers whose sizes are 10 pints, 7 pints, and 4 pints, respectively. The 7-pint and 4-pint containers start out full of water, but the 10-pint container is initially empty. We are allowed one type of operation: pouring the contents of one container into another, stopping only when the source container is empty or the destination container is full. We want to know if there is a sequence of pouring鈥檚 that leaves exactly 2 pints in the 7- or 4-pint container.
(a) Model this as a graph problem: give a precise definition of the graph involved and state the specific question about this graph that needs to be answered.
(b) What algorithm should be applied to solve the problem?
(c) Find the answer by applying the algorithm.
Q9E
For each node in an undirected graph, let twodegreebe the sum of the degrees of鈥檚 neighbors. Show how to compute the entire array of two degree values in linear time, given a graph in adjacency list format