(d)
1) The topological ordering is basically a linear ordering of graph if u and v are the vertices of graph there u must be comes before v .
2) It must be (directed acyclic graph)
3) The given graph should be DAG (directed acyclic graph)
4) The graph must not contain any cycle.
5) Every DAG (directed acyclic graph) have at least (directed acyclic graph) onetopological ordering.
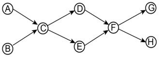
The given graph is:

In this graph topological orders are possible.
In first step check whether the graph has cycle or not. If not then proceed for topological ordering and find out the node with indegree zero and consider it as source vertex. Starting with the source there are two nodes with in degreethat are A and B .
Select A then B after that it seems that C has degree zero D and 1 has degree up to here the sequence of graph is ABC .Then eliminate C . Now the degree of D and E are zero. Select any one from them. Select D and after that select E . Now the degree of F is zero and the degree of G and H is 1. After selecting F eliminate F and again look for degree and the degree of both G and H is zero because no other edge is coming on these nodes let select G and after that select H .
Now the sequence is,
Similarly, by selectingas A,B first edge again three case is possible through this they are as follows,
Now the next possibility is when the source node asB and after that selectAas the next vertex now again find the degree of the each and every node in the graph after eliminating both vertex A and B then it is clear the new degree of b C is zero. So, select C Again D and E are the two options select each of them one by one for showing various possibility.
Then select in one case .
The other four cases are as follows:
So, 8 topological orders are possible in the graph.