Chapter 16: Q12CP (page 657)
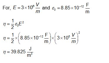
Question: The energy density inside a certain capacitor is . What is the magnitude of electric field inside the capacitor? What is the energy density associated with an electric field of (large enough to initiate a spark)?
Short Answer
Answer
Electric field inside the capacitor =
Energy density associated with an electric field =


