Chapter 0: Q26E (page 11)
Question: An Eulerian tourin an undirected graph is a cycle that is allowed to pass through each vertex multiple times, but must use each edge exactly once.
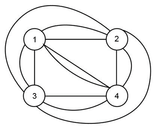
This simple concept was used by Euler in to solve the famous Konigsberg bridge problem, which launched the field of graph theory. The city of Konigsberg (now called Kaliningrad, in western Russia) is the meeting point of two rivers with a small island in the middle. There are seven bridges across the rivers, and a popular recreational question of the time was to determine whether it is possible to perform a tour in which each bridge is crossed exactly once. Euler formulated the relevant information as a graph with four nodes (denoting land masses) and seven edges (denoting bridges), as shown here.

Notice an unusual feature of this problem: multiple edges between certain pairs of nodes.
(a) Show that an undirected graph has an Eulerian tour if and only if all its vertices have even degree. Conclude that there is no Eulerian tour of the Konigsberg bridges.
(b) An Eulerian pathis a path which uses each edge exactly once. Can you give a similar if-and-only-if characterization of which undirected graphs have Eulerian paths?
(c) Can you give an analog of part (a) for directedgraphs?
Short Answer
Answer
- An undirected graph has a Eulerian tour if and only if all its vertices have an even degree. It is proved that there is no Eulerian tour in the Konigsberg bridges.
- Yes, An undirected graph with an even number of edges between every vertex has a Eurelian path.
- Yes. A directed graph has a Eulerian tour if two conditions are met.




