Chapter 7: Fourier Series and Transforms
Q17P
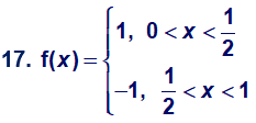
In Problems 17 to 22 you are given f(x) on an interval, say 0 < x < b. Sketch several periods of the even function fcof period 2b, the odd function fsof period 2b, and the function fpof period b, each of which equals f(x)on 0 < x < b . Expand each of the three functions in an appropriate Fourier series.

Q17P
In Problems 17to 20, find the Fourier sine transform of the function in the indicated problem, and write f(x)as the Fourier integral [ use equation (12.14)]. Verify that the sine integral for f(x)is the same as the exponential integral found previously.
17.Problem 3
Q18P
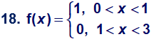
In Problems 17 to 22 you are given f(x) on an interval, say 0 < x < b. Sketch several periods of the even function fcof period 2b, the odd function fsof period 2b, and the function fpof period b, each of which equals f(x)on 0 < x < b . Expand each of the three functions in an appropriate Fourier series.

Q18P
In Problems 17to 20, find the Fourier sine transform of the function in the indicated problem, and write f(x)as a Fourier integral [use equation (12.14)]. Verify that the sine integral for f(x)is the same as the exponential integral found previously.
Problem 6.
Q18P
Each of the following functions is given over one period. Sketch several periods of the corresponding periodic function and expand it in an appropriate Fourier series.
f(x) = x2 , 0 < x < 10
Q19P
Each of the following functions is given over one period. Sketch several periods of the corresponding periodic function and expand it in an appropriate Fourier series.

Q19P
In Problems 17 to 22 you are given f(x) on an interval, say 0 < x < b. Sketch several periods of the even function fcof period 2b, the odd function fsof period 2b, and the function fpof period b, each of which equals f(x)on 0 < x < b . Expand each of the three functions in an appropriate Fourier series.
19.
Q19P
In Problems 17to 20,find the Fourier sine transform of the function in the indicated problem, and write f(x)as a Fourier integral [use equation (12.14)]. Verify that the sine integral for f(x)is the same as the exponential integral found previously.
Problem 10.
Q1MP
The displacement (from equilibrium) of a particle executing simple harmonic motion may be eitherordepending on our choice of time origin. Show that the average of the kinetic energy of a particle of mass m(over a period of the motion) is the same for the two formulas (as it must be since both describe the same physical motion). Find the average value of the kinetic energy for thecase in two ways:
(a) By selecting the integration limits (as you may by Problem 4.1) so that a change of variable reduces the integral to thecase.
(b) By expandingby the trigonometric addition formulas and using (5.2) to write the average values.
Q1P
Prove (11.4)for a function of period 2Lexpanded in a sine-cosine series.