Chapter 7: Q17P (page 371)
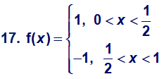
In Problems 17 to 22 you are given f(x) on an interval, say 0 < x < b. Sketch several periods of the even function fcof period 2b, the odd function fsof period 2b, and the function fpof period b, each of which equals f(x)on 0 < x < b . Expand each of the three functions in an appropriate Fourier series.

Short Answer
The even function fc of period 2b is
the odd function fs of period 2b is
and the function f(x) on 0 < x < b is
The graph of the functions is shown below:









