Chapter 11: Q22E (page 753)
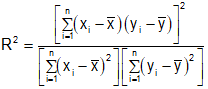
Question: Consider a problem of simple linear regression as described in Sec.\({\bf{11}}{\bf{.2}}\) and let \({{\bf{R}}^{\bf{2}}}\), be defined by Eq.\({\bf{(11}}{\bf{.5}}{\bf{.26)}}\) of this section. Show that
\({{\bf{R}}^{\bf{2}}}{\bf{ = }}\frac{{{{\left( {\mathop {\sum {\left( {{{\bf{x}}_{\bf{i}}}{\bf{ - \bar x}}} \right)\left( {{{\bf{y}}_{\bf{i}}}{\bf{ - \bar y}}} \right)} }\limits_{{\bf{i = 1}}}^{\bf{n}} } \right)}^{\bf{2}}}}}{{\left( {\mathop {\sum {{{\left( {{{\bf{x}}_{\bf{i}}}{\bf{ - \bar x}}} \right)}^{\bf{2}}}} }\limits_{{\bf{i = 1}}}^{\bf{n}} } \right)\left( {\mathop {\sum {{{\left( {{{\bf{y}}_{\bf{i}}}{\bf{ - \bar y}}} \right)}^{\bf{2}}}} }\limits_{{\bf{i = 1}}}^{\bf{n}} } \right)}}\)
Short Answer
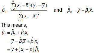
Using the regression formulas we proved that





