Chapter 11: Q15E (page 728)
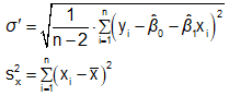
Question: Suppose that in a problem of simple linear regression, a confidence interval with confidence coefficient \({\bf{1 - }}{{\bf{\alpha }}_{\bf{0}}}\)\(\left( {{\bf{0 < }}{{\bf{\alpha }}_{\bf{0}}}{\bf{ < 1}}} \right)\) is constructed for the height of the regression line at a given value of \(x\). Show that the length of this confidence interval is shortest when \({\bf{x = \bar x}}\).
Short Answer
It is proved that the length of the confidence interval is shortest when \(x = \bar x\).
