Chapter 11: Q4E (page 752)
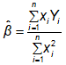
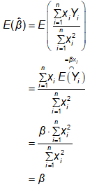
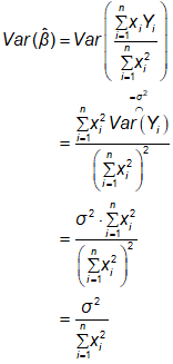
Question:For the conditions of Exercise \({\bf{3}}\), show that \({\bf{E(\hat \beta ) = \beta }}\)and \({\bf{Var(\hat \beta ) = }}{{\bf{\sigma }}^{\bf{2}}}{\bf{/}}\left( {\mathop {\sum {{\bf{x}}_{\bf{i}}^{\bf{2}}} }\limits_{{\bf{i = 1}}}^{\bf{n}} } \right)\).
Short Answer
Using the linearity of expectation we proved that \(E(\hat \beta ) = \beta \)and 



