Chapter 11: Conics
Q 11.44.
Find the equation of the ellipse shown.

Q 11.45.

Q 11.46.

Q 11.47.

Q 11.48.

Q 11.49.
(a) Write the equation in standard form and (b) graph.
Q. 115
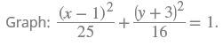
In the following exercises, graph each ellipse.
Q. 11.5
Use the Distance Formula to find the distance between the points and . Write the answer in exact form and then find the decimal approximation, rounded to the nearest tenth if needed.
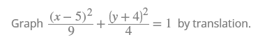
Q 11.50.
(a) Write the equation in standard form and (b) graph.
Q 11.51.
