Chapter 11: Q 11.46. (page 1111)

Short Answer
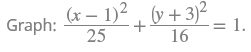
The graph of an ellipse is shown below:

/*! This file is auto-generated */ .wp-block-button__link{color:#fff;background-color:#32373c;border-radius:9999px;box-shadow:none;text-decoration:none;padding:calc(.667em + 2px) calc(1.333em + 2px);font-size:1.125em}.wp-block-file__button{background:#32373c;color:#fff;text-decoration:none}
Learning Materials
Features
Discover
Chapter 11: Q 11.46. (page 1111)

The graph of an ellipse is shown below:

All the tools & learning materials you need for study success - in one app.
Get started for free
Factor
In the following exercises, factor.
.
Solve
Use the Quotient Property to simplify square roots.
(a)
(b)
(c)
In the following exercises, find the function values for each polynomial function.
For the function , find:
(a) f(-4) (b) f(1) (c) f(0)
What do you think about this solution?
We value your feedback to improve our textbook solutions.