Chapter 11: Q 11.47. (page 1113)

Short Answer
The graph of an ellipse by translation is shown below:

/*! This file is auto-generated */ .wp-block-button__link{color:#fff;background-color:#32373c;border-radius:9999px;box-shadow:none;text-decoration:none;padding:calc(.667em + 2px) calc(1.333em + 2px);font-size:1.125em}.wp-block-file__button{background:#32373c;color:#fff;text-decoration:none}
Learning Materials
Features
Discover
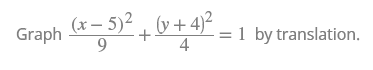
Chapter 11: Q 11.47. (page 1113)

The graph of an ellipse by translation is shown below:

All the tools & learning materials you need for study success - in one app.
Get started for free
In the following exercises, factor each trinomial of the form .
In the following exercises, divide the rational expressions.
Solve the exercise
Factor
Use the Zero Product Property in following exercises, solve.
What do you think about this solution?
We value your feedback to improve our textbook solutions.