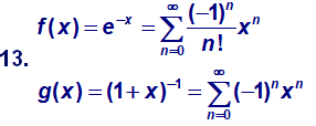
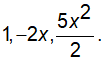
Chapter 1: Q-13E (page 1)
Question:In Problem find the first three nonzero terms in the power series expansion for the product f(x)g(x).

Short Answer
The first three nonzero terms of the product of the given power series are
/*! This file is auto-generated */ .wp-block-button__link{color:#fff;background-color:#32373c;border-radius:9999px;box-shadow:none;text-decoration:none;padding:calc(.667em + 2px) calc(1.333em + 2px);font-size:1.125em}.wp-block-file__button{background:#32373c;color:#fff;text-decoration:none}
Learning Materials
Features
Discover
Chapter 1: Q-13E (page 1)
Question:In Problem find the first three nonzero terms in the power series expansion for the product f(x)g(x).

The first three nonzero terms of the product of the given power series are
All the tools & learning materials you need for study success - in one app.
Get started for free
Question:Use a CAS to graphJ3/2(x),J-3/2(x),J5/2(x), and J-5/2(x).
In Problems 9-13, determine whether the given relation is an implicit solution to the given differential equation. Assume that the relationship implicitly defines y as a function of x and use implicit differentiation.
,
In Problems 9-13, determine whether the given relation is an implicit solution to the given differential equation. Assume that the relationship implicitly defines y as a function of x and use implicit differentiation.
,
Question:(a) Use the general solution given in Example 5 to solve the IVP. 4x"+e-0.1tx=0,x(0)=1,x'(0)=.Also use J'0(x)=-J1(x) and Y'0(x)=-Y1(x)=-Y1(x)along withTable 6.4.1 or a CAS to evaluate coefficients.
(b) Use a CAS to graph the solution obtained in part (a) for.
The direction field for as shown in figure 1.13.

b. Sketch the solution curve that passes through (-1, 3).
c. What can you say about the solution in part (b) as ? How about ?
What do you think about this solution?
We value your feedback to improve our textbook solutions.