Chapter 1: Introduction
20E
In Problems , solve for , the Laplace transform of the solution to the given initial value problem.
41E
Use Heaviside's expansion formula derived in Problem 40 to determine the inverse Laplace transform of
Q10E
Find a general solution for the differential equation with x as the independent variable:
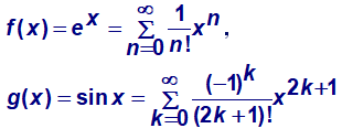
Q-10E
Question 10: In Problems, find the power series
expansion for f(x)+g(x), given the expansions for f(x) and g(x).
10. 
Q10 E
In Problems 9-13, determine whether the given relation is an implicit solution to the given differential equation. Assume that the relationship implicitly defines y as a function of x and use implicit differentiation.
,
Q10RP
Decide whether the statement made is True or False. The relation is an implicit solution to .
Q-11E
Question 11: In Problem, find the first three nonzero terms in the power series expansion for the product f(x) g(x).

Q11 E
In Problems 9–13, determine whether the given relation is an implicit solution to the given differential equation. Assume that the relationship implicitly defines y as a function of x and use implicit differentiation.
,
Q11RP
The initial value problem \[\frac{{{\bf{dx}}}}{{{\bf{dt}}}}{\bf{ = 3}}{{\bf{x}}^{\frac{{\bf{2}}}{{\bf{3}}}}}{\bf{,}}\;{\bf{x(0) = 1}}\] has a unique solution in some open interval around t = 0.
Q12E
In Problems 9–20, determine whether the equation is exact.
If it is, then solve it.