Chapter 1: Introduction
Q12E
In Problems 9–20, determine whether the equation is exact.
If it is, then solve it.
Q-12E
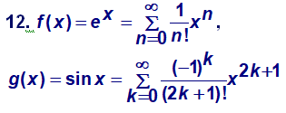
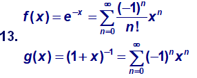
Question: In Problem, find the first three nonzero terms in the power series expansion for the product f(x) g(x).

Q12 E
In Problems 9-13, determine whether the given relation is an implicit solution to the given differential equation. Assume that the relationship implicitly defines y as a function of x and use implicit differentiation.
,
Q12RP
The initial value problem \[\frac{{{\bf{dx}}}}{{{\bf{dt}}}}{\bf{ = 3}}{{\bf{y}}^{\frac{{\bf{2}}}{{\bf{3}}}}}{\bf{,}}\;{\bf{y(2) = 1}}{{\bf{0}}^{{\bf{ - 100}}}}\]has a unique solution in some open interval around x = 2.
Q13E
In Problems 9–20, determine whether the equation is exact.
If it is, then solve it.
Q-13E
Question:In Problem find the first three nonzero terms in the power series expansion for the product f(x)g(x).

Q13 E
In Problems 9-13, determine whether the given relation is an implicit solution to the given differential equation. Assume that the relationship implicitly defines y as a function of x and use implicit differentiation.
,
Q13RP
The solution to the initial value problem \[\frac{{{\bf{dy}}}}{{{\bf{dx}}}}{\bf{ = (x - 2)(y - 3}}{{\bf{)}}^{\bf{2}}}{\bf{,}}\;{\bf{y(0) = 0}}\], will always be less than 3; that is, \[{\bf{y(x) < 3}}\] for\[{\bf{x}} \ge 0\].
Q14E
In Problems 13 and 14, find an integrating factor of the form and solve the equation.
Q14E
In Problems 9–20, determine whether the equation is exact.
If it is, then solve it.