Chapter 1: Q-11E (page 1)
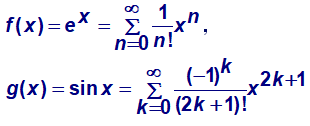
Question 11: In Problem, find the first three nonzero terms in the power series expansion for the product f(x) g(x).

Short Answer
Hence, the product is,
/*! This file is auto-generated */ .wp-block-button__link{color:#fff;background-color:#32373c;border-radius:9999px;box-shadow:none;text-decoration:none;padding:calc(.667em + 2px) calc(1.333em + 2px);font-size:1.125em}.wp-block-file__button{background:#32373c;color:#fff;text-decoration:none}
Learning Materials
Features
Discover
Chapter 1: Q-11E (page 1)
Question 11: In Problem, find the first three nonzero terms in the power series expansion for the product f(x) g(x).

Hence, the product is,
All the tools & learning materials you need for study success - in one app.
Get started for free
The logistic equation for the population (in thousands) of a certain species is given by .
猞 Sketch the direction field by using either a computer software package or the method of isoclines.
猞 If the initial population is 3000 [that is, p(0) = 3], what can you say about the limiting population?
猞 If , what is ?
猞 Can a population of 2000 ever decline to 800?
In Problems 21鈥26, solve the initial value problem.
Use Euler鈥檚 method with step size h = 0.1 to approximate the solution to the initial value problem
, y (1) = 0 at the points .
(a) Show that is an explicit solution to on the interval .
(b) Show that , is an explicit solution to on the interval .
(c) Show that is an explicit solution to on the interval .
In Problems 13-19,find at least the first four nonzero terms in a power series expansion of the solution to the given initial value problem.
What do you think about this solution?
We value your feedback to improve our textbook solutions.