Chapter 1: Q-10E (page 1)
Question 10: In Problems, find the power series
expansion for f(x)+g(x), given the expansions for f(x) and g(x).
10. 
Short Answer
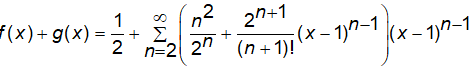
The required expansion is,
/*! This file is auto-generated */ .wp-block-button__link{color:#fff;background-color:#32373c;border-radius:9999px;box-shadow:none;text-decoration:none;padding:calc(.667em + 2px) calc(1.333em + 2px);font-size:1.125em}.wp-block-file__button{background:#32373c;color:#fff;text-decoration:none}
Learning Materials
Features
Discover
Chapter 1: Q-10E (page 1)
Question 10: In Problems, find the power series
expansion for f(x)+g(x), given the expansions for f(x) and g(x).
10. 
The required expansion is,
All the tools & learning materials you need for study success - in one app.
Get started for free
In Problems 9–20, determine whether the equation is exact.
If it is, then solve it.
Question: In Problems 3–8, determine whether the given function is a solution to the given differential equation.
,
In problems 1-6, identify the independent variable, dependent variable, and determine whether the equation is linear or nonlinear.
Implicit Function Theorem. Let have continuous first partial derivatives in the rectanglecontaining the pointlocalid="1664009358887" . If and the partial derivative, then there exists a differentiable function , defined in some interval,that satisfies G for allforall .
The implicit function theorem gives conditions under which the relationship implicitly defines yas a function of x. Use the implicit function theorem to show that the relationship given in Example 4, defines y implicitly as a function of x near the point.
Combat Model.A simplified mathematical model for conventional versus guerrilla combat is given by the system where and are the strengths of guerrilla and conventional troops, respectively, and 0.1 and 1 are the combat effectiveness coefficients.Who will win the conflict: the conventional troops or the guerrillas? [Hint:Use the vectorized Runge–Kutta algorithm for systems with h=0.1to approximate the solutions.]
What do you think about this solution?
We value your feedback to improve our textbook solutions.