Chapter 0: 11 E (page 11)
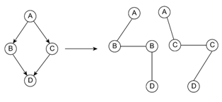
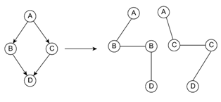
There are many variants of Rudrata鈥檚 problem, depending on whether the graph is undirected or directed, and whether a cycle or path is sought. Reduce the DIRECTED RUDRATA PATH problem to each of the following.(a)The (undirected) RUDRATA PATH problem.(b) The undirected RUDRATA PATH problem, which is just like RUDRATA PATH except that the endpoints of the path are specified in the input.
Short Answer

2. Enumerating the source and destination solves the given problem.

