(a)
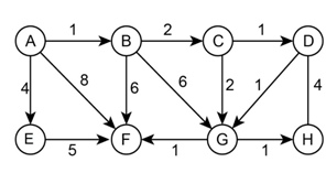
Consider the given graph ,

Set A as the starting node.
In the first iteration, set all the vertices values as . At the second iteration, the path from A to B is set to 1. At the third iteration, path from A to C is updated to 3 since it is the shortest path.
At the fourth iteration, path from A to D is set to 4 , that is the total of (1+2+1) . At the fifth iteration A to E is set to 4 , that is the direct path.
At the sixth iteration, A to F is set to 8 , that is the direct path. At the seventh iteration, A to F is set to 7 , since it is comparatively lowest cost path.
At the nineth iteration, A to G is set to 7 at first, then it will be updated to 5 on the next iteration. At the last iteration, A to H is set to 8, and later it will be updated to 6 .
The table that shows the intermediate values is as follows,

Therefore, The table showing the intermediate distance values is obtained.