Chapter 25: High-Performance Liquid Chromatography
Q1P
(a) Why does mobile phase strength increase as solvent
becomes less polar in reversed-phase chromatography, whereas
mobile phase strength increases as solvent becomes more polar in
normal-phase chromatography?
(b) What kind of gradient is used in supercritical fluid chromatography?
Q20P
Suppose that an HPLC column produces Gaussian peaks. The detector measures absorbance at 254 nm. A sample containing equal moles of compounds A and B was injected into the column. Compound A has a height h=128mm and a half-width mm. Compound B has mm. What is the height of peak B in millimeters?
Q21P
Morphine and morphine 3-b-d-glucuronide were separated on two different 50 3 4.6 mm columns with 3-mm particles.61 Column A was C18-silica run at 1.4 mL/min and column B was bare silica run at 2.0 mL/min.
(a) Estimate the volume,, and time,, at which unretained solute would emerge from each column. The observed times are 0.65 min for column A and 0.50 min for column B.
(b) Column A was eluted with 2 vol% acetonitrile in water containing 10 mM ammonium formate at pH 3. Morphine 3--d-glucuro-nide emerged at 1.5 min and morphine at 2.8 min. Explain the order of elution.
(c) Find the retention factor k for each solute on column A, using5 0.65 min.
(d) Column B was eluted with a 5.0-min gradient beginning at 90 vol% acetonitrile in water and ending at 50 vol% acetonitrile in water. Both solvents contained 10 mM ammonium formate, pH 3. Morphine emerged at 1.3 min and morphine 3-b-d-glucuronide emerged at 2.7 min. Explain the order of elution. Why does the gradient go from high to low acetonitrile volume fraction?
(e) From Equation 25-12 in Box 25-4, estimate k* on Column B assuming S = 4 and with5 0.50 min.
Q22P
The rate at which heat is generated inside a chromatographycolumn from friction of flowing liquid is power (watts, )= volume flow raterole="math" localid="1656474760665" pressure drop (pascals, role="math" localid="1656474828044" ).
(a) Explain the analogy between heat generated in a chromatography column and heat generated in an electric circuit (power = currentvoltage).
(b) At what rate (watts = J/s) is heat generated for a flow of 1 mL/minwith a pressure difference of3500 bar between the inlet and outlet?
You will need to convert mL/min to.Also 1 bar.
Q23P
To which kinds of analytes do these liquid chromatography detectors respond?
(a) ultraviolet
(b) refractive index
(c) evaporative light scattering
(d) charged aerosol
(e) electrochemical
(f) fluorescence
(g) nitrogen chemiluminescence
(h) conductivity
Q24P
The chromatogram in Box 25-3 shows the supercritical fluid chromatography separation of seven steroids monitored by three detectors.
(a) In the middle chromatogram, ultraviolet detection provides near universal response for the steroids, whereas in the lower chromatogram the ultraviolet detector provides a selective response for a few of the steroids. How can ultraviolet detection act as either a selective or universal detector?
(b) Why is a sloping baseline observed at 210 nm, but the baseline is flat at 254 nm?
(c) Use the baseline disturbance early in the 254 nm chromatogram to measure tm. How does the measured value compare with that predicted using Equation 25-5 given that the column is 25 脳 0.46 cm and the flow rate is 2.0 mL/min.
Q25P
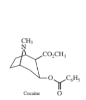
Chromatography鈥搈ass spectrometry. Cocaine metabolism in rats can be studied by injecting the drug and periodically with drawing blood to measure levels of metabolites by HPLC鈥搈ass spectrometry. For quantitative analysis, isotopically labelled internal standards are mixed with the blood sample. Blood was analysed by reversed-phase chromatography with an acidic eluent and atmospheric pressure chemical ionization mass spectrometry for detection. The mass spectrum of the collisionally activated dissociation products from the m/z 304 positive ion is shown in the figure on the next page. Selected reaction monitoring (m/z 304 from mass filter Q1 and m/z 182 from Q3 in Figure 22-33) gave a single chromatographic peak at 9.22 min for cocaine. The internal standard -cocaine gave a single peak at 9.19 min for m/z 309 (Q1) 182(Q3).
(a) Draw the structure of the ion at m/z 304.
(b) Suggest a structure for the ion at m/z 182.
(c) The intense peaks at m/z 182 and 304 do not have isotopic partners at m/z 183 and 305. Explain why.
(d) Rat plasma is exceedingly complex. Why does the chromatogram show just one clean peak?
(e) Given that -cocaine has only two major mass spectral peaks at m/z 309 and 182, which atoms are labelled with deuterium?
(f) Explain how you would use -cocaine for measuring cocaine in blood.


Spectrum for Problem 25-25.
Left: Mass spectrum of collisionally activated dissociation products from m/z 304 positive ion from atmospheric pressure chemical ionization mass spectrum of cocaine.
Right: Chromatograms obtained by selected reaction monitoring. [Data from G. Singh, V. Arora, P. T. Fenn, B. Mets, and I. A. Blair, 鈥淚sotope Dilution Liquid Chromatography Tandem Mass Spectrometry Assay for Trace Analysis of Cocaine and Its Metabolites in Plasma,鈥 Anal. Chem. 1999, 71, 2021.]
Q26P
Chromatography鈥搈ass spectrometry. HPLC separation of
enantiomers of the drug Ritalin on a chiral stationary phase was
shown in Problem 25-13.
(a) Detection is by atmospheric pressure chemical ionization with
selected reaction monitoring of the m/z 23484 transitions. Explain
how this detection works and propose structures for m/z 234 and m/z 84.
(b) For quantitative analysis, the internal standard-Ritalin with
a deuterated methyl group was added. Deuterated enantiomers have
the same retention times as unlabelled enantiomers. Which selected
reaction monitoring transition should be monitored to produce a
chromatogram of the internal standard in which unlabelled Ritalin
will be invisible?
Q27P
(a)explain how to measure k and resolution.
(b)state three method for measuring in reversed-phase chromatography.
(c)state three method for measuring in hydrophilic interaction liquid chromatography.
(d)Estimate for column containing particles operating at a flow rate of Estimate if the particle size were instead.
Q28P
what is the difference between extra-column volume and dwell volume? How do each of these volumes affect a chromatogram?