Chapter 14: Ethers, epoxides, and thioethers
Q4P
Give a common name (when possible) and a systematic name for each compound
(a) CH3OCH=CH2
(b) CH3CH2OCH(CH3)2
(c) ClCH2CH2OCH3
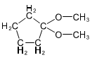
(d)

e)

f)

g)

h)

i)

Q50P
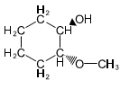
Propylene oxide is a chiral molecule. Hydrolysis of propylene oxide gives propylene glycol, another chiral molecule.
(a) Draw the enantiomers of propylene oxide.
(b) Propose a mechanism for the acid-catalyzed hydrolysis of pure .
(c) Propose a mechanism for the base-catalyzed hydrolysis of pure .
(d) Explain why the acid-catalyzed hydrolysis of optically active propylene oxide gives a product with lower enantiomeric excess and a rotation opposite that of the product of the base- catalyzed hydrolysis.
Q 51P
A compound of molecular formula C8H8Ogives the IR and NMR spectra shown here. Propose a structure and show how it is consistent with the observed absorptions.

Q 52P
(a) Tetramethyloxirane is too hindered to undergo nucleophilic substitution by the hindered alkoxide, potassium tert-butoxide. Instead, the product is the allylic alcohol shown. Propose a mechanism to explain this reaction. What type of mechanism does it follow?

(b) Under mild acid catalysis, 1,1-diphenyloxirane undergoes a smooth conversion to diphenylethanal (diphenylacetaldehyde). Propose a mechanism for this reaction. (Hint: Think Pinacol.)

Q53P.
Question. Under the right conditions, the following acid-catalyzed double cyclization proceeds in remarkably good yields. Propose a mechanism. Does this reaction resemble a biological process you have seen?
Q 54P
One of the crowning achievements of natural products synthesis was Bryostatin 1, published by Professor Gary Keck (University of Utah; Journal of the American Chemical Society,2011, 133, 744-747). The Bryostatins are a family of compounds isolated from aquatic invertebrates known as Bryozoans. The compounds are of interest for a variety of biological effects, including anti-cancer activity and reversing brain damage in rodents.
a. How many ether functional groups are present in Bryostatin 1?
b. Identify the other oxygen-containing functional groups.
c. This is called a macrolide because it contains a large number of atoms in the large ring. How many atoms are in the large ring?
d. How many chiral centers are in this molecule?
e. Using the number of chiral centers you reported in part (d), calculate the number of stereoisomers possible at these chiral centers. (Ignore stereoisomers at double bonds.)

Q 55P
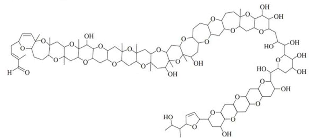
In 2012, a group led by Professor Masayuki Satake of the University of Tokyo reported the isolation and structure determination of a toxin from a marine algal bloom that decimated the fish population off the New Zealand coast in 1998. Extensive mass spectrometry and NMR experiments ultimately led to the structure shown below, named Brevisulcenal-F. (See Journal of the American Chemical Society, 2012, 134, 4963-4968.) This structure holds the record for the largest number of fused rings, at 17.

Brevisulcenal-F
a. How many ether groups are present?
b. How many alcohol groups are present? Classify the alcohols as 1o or 2o or 3o.
c. Are there any other oxygen-containing functional groups? Which, if any?
Q5P
1,4-Dioxane is made commercially by the acid-catalyzed condensation of an alcohol.
(a)Show what alcohol will undergo condensation, with loss of water, to give 1,4-dioxane.
(b)Propose a mechanism for this reaction
Q7P
Propose a fragmentation to account for each numbered peak in the mass spectrum of n-butyl isopropyl ether.

Q8P.
Propose a Williamson synthesis of 3-butoxy-1,1-dimethylcyclohexane from 3,3-dimethyl-cyclohexanol and butan-1-ol.