Did you know that the earliest record of prime numbers was dated back to 300 B.C. in ancient Greece? It was discovered by a Greek mathematician named Euclid of Alexandria who proved that there are infinitely many prime numbers.
In this article, we will be introduced to a concept involving prime numbers called prime factorisation. The idea revolves around the fact that any whole number can be expressed as the product of a set of prime numbers. Here, we shall see how prime factors can be treated as the "building block" or foundation of a given whole number as well as methods to factorise whole numbers into their prime factors and finally, examples of the application of prime factorisation.
Defining Prime Factorisation
First, recall the definition of a prime number.
A prime number is a whole number that has precisely two factors, \(1\) and the number itself. Examples of prime numbers include \(2\), \(3\), \(5\), \(7\), \(11\), \(13\), etc.
Now further recall the definition of a factor.
A factor of a given whole number is one that divides the number without leaving a remainder. In other words, the factors of a number divide the number completely.
With these two definitions in place, we shall begin by refreshing our memory on finding the factors for a given number. That way, we can ease ourselves into the topic and use it to bridge this concept onto prime numbers. As an example, let us deduce the factors of \(14\). This number can be written as the product of the following pairs of numbers.
\[1 \times 14 = 14\]
\[2 \times 7 = 14\]
All the numbers seen in these two products of \(14\) are its factors. Thus, the factors of \(14\) are \(1\), \(2\), \(7\), and \(14\). Looking at this list of factors, notice that the numbers \(2\) and \(7\) are prime numbers. This brings us to the definition of a prime factor.
A prime factor is a factor of a given number that is also a prime number.
As seen above, we can express a number as a product of two numbers. Nevertheless, we can also represent a number as a product of its prime factors. This is known as prime factorisation.
Prime factorisation is the process of writing a number as a product of its prime factors.
Essentially, what we are doing here is breaking down a number in terms of its prime factors. Isn't that neat?
Examples of Prime Factorisations of a Number
The table below shows a few examples of numbers expressed in their prime factorisation form. This is just to give a clearer view of how this representation looks. Don't worry about the process just yet! We'll get into that in the next section.
| Number | Prime Factorisation Form |
| \(16\) | \(2 \times 2 \times 2 \times 2 = 2^4\) |
| \(27\) | \(3 \times 3 \times 3 = 3^3\) |
| \(45\) | \(3 \times 3 \times 5 = 3^2 \times 5\) |
| \(64\) | \(2 \times 2 \times 2 \times 2 \times 2 \times 2 = 2^6\) |
| \(86\) | \(2 \times 43\) |
| \(99\) | \(3 \times 3 \times 11 = 3^2 x 11\) |
| \(144\) | \(2 \times 2 \times 2 \times 2 \times 3 \times 3 = 2^4 \times 3^2\) |
| \(322\) | \(2 \times 7 \times 23\) |
| \(1025\) | \(5 \times 5 \times 41 = 5^2 \times 41\) |
Prime Factors vs. Factors
The main difference between factors and prime factors is simply the type of number in each form of factorisation. Factors are essentially any number that divides another number completely without leaving any remainder. These factors include both composite numbers and prime numbers.
A composite number is a whole number that has more than two factors.
Prime factors of a given number are factors that are both divisors and are classified as prime numbers. When we consider the prime factorisation of this number, it means that we cannot split its factored form into any more numbers (since it is no longer a composite number).
Methods of Decomposition into Prime Factors
There are two ways to determine the prime factorisation of a given number. These two techniques are listed below.
Division method
Factor tree method
In this section, we shall discuss each technique in turn and present several examples demonstrating each method.
Division Method
Let us begin with the division method. There are four steps to this technique.
Divide the given number by the smallest prime number;
This smallest prime number should divide the number completely.
Divide the quotient of Step 1 by the smallest prime number again;
Repeat Step 2 until the quotient equals 1;
Multiply all the resulting prime factors.
These prime numbers are the divisors to the dividend in Step 1 and quotients from Steps 2 to 3.
We shall now observe some examples showing this method.
Find the prime factorisation of 56 using the division method.
Solution
We shall do this in the form of a table to make this method clearer.
| Procedure | Prime Factor | Result upon division |
| Divide \(56\) by the least prime factor, that is \(2\) | \(2\) | \(56 \div 2 = 28\) |
| Divide the quotient, \(28\) again by the least prime factor, that is \(2\) | \(2\) | \(28 \div 2 = 14\) |
| Divide the quotient, \(14\) again by the least prime factor, that is \(2\) | \(2\) | \(14 \div 2 = 7\) |
| The quotient here is \(7\) which is a prime number. Thus, we must divide it by itself to obtain \(1\) | \(7\) | \(7 \div 7 = 1\) |
A neater way to draw this table is by using the following grid.

Division method for 56 - 91Ó°ÊÓ Originals
Thus, the prime factorisation of \(56\) is \(56 = 2 \times 2 \times 2 \times 7 = 2^3 \times 7\).
The prime factors of \(56\) are \(2\) and \(7\).
Find the prime factorisation of \(999\) using the division method.
Solution
Applying the same format as the table above, we obtain
| Procedure | Prime Factor | Result upon division |
| Divide \(999\) by \(3\) | \(3\) | \(999 \div 3 = 333\) |
| Divide \(333\) by \(3\) | \(3\) | \(333 \div 3 = 111\) |
| Divide \(111\) by \(3\) | \(3\) | \(111\div 3 = 37\) |
| As \(37\) is a prime number, divide \(37\) by itself | \(37\) | \(37\div 37 = 1\) |
Another way to express this table is seen below.

Division method for 999 - 91Ó°ÊÓ Originals
Thus, the prime factorisation of \(999\) is \(999 = 3 \times 3 \times 3 \times 37 = 3^3 \times 37\).
The prime factors of \(999\) are \(3\) and \(37\).
Tree Method for Prime Factorization
We shall now move on to the factor tree method. The steps to this process are numbered below.
Write the number at the top of the factor tree;
Express the number as a product of two factors branching out of the tree;
Further branch out each of these factors found in Step 2 as a product of two factors;
Repeat Step 3 until we are unable to branch out each factor. At this point, it should be written as a prime factor;
Finally, define the given number as a composite of its prime factors in exponent form.
Let us now look at some worked examples using this method.
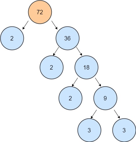
Find the prime factorisation of \(72\) using the factor tree method.
Solution
Let us first factorise \(72\) as a product of two numbers, say, \(2\) and \(36\). From here, we can further branch out \(36\) as a product of \(2\) and \(18\). The number \(2\) is a prime and can no longer be broken down further. So we can leave this branch alone.
Again, we can branch out \(18\) as a product of \(2\) and \(9\). Repeating this process for \(9\), we have two branches of \(3\). As \(3\) is a prime, we can stop here. To visualise this, let us draw this out as a factor tree.

Factor tree method for 72 - 91Ó°ÊÓ Originals
Thus, the prime factorisation of \(72\) is \(72 = 2 \times 2 \times 2 \times 3 \times 3 = 2^3 \times 3^2\).
The prime factors of \(72\) are \(2\) and \(3\).
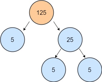
Find the prime factorisation of \(125\) using the factor tree method.
Solution
By applying the same concept as the previous example, we obtain the following factor tree for \(125\).
Here, we first factorised \(125\) as a product of \(5\) and \(25\). \(5\) is a prime and can no longer be broken down so we can leave this branch alone. From here, we can branch out \(25\) as a product of \(5\) and \(5\). Since \(5\) is a prime, we can stop our tree here.

Factor tree method for 125 - 91Ó°ÊÓ Originals
Thus, the prime factorisation of \(125\) is \(125 = 5 \times 5 \times 5 = 5^3\).
The only prime factor of \(125\) is \(5\).
Applications of Prime Factorisation
Prime factorisation is a very helpful tool when it comes to finding patterns and relationships between factors and multiples for a given set of numbers. It is handy when dealing with larger digits. We can use this concept to find the following:
Highest common factor (HCF)
Lowest common multiple (LCM)
Identifying the total number of factors
This segment shall discuss these three main applications of prime factorisation in detail along with some worked examples for each case.
Highest Common Factor (HCF)
By identifying the prime factorisation of two given numbers, we can deduce their highest common factor (HCF). Given a pair of numbers, say x and y, we must first find the prime factorisation of each number. The HCF of x and y is the product of the smallest power of each common prime factor. Let's show this with an example.
More information on this topic can be found in the article: Highest Common Factor.
Find the HCF of \(60\) and \(96\).
Solution
Let us first find the prime factorisation of \(60\) and \(96\). Note that you can use either method here. For this example, we shall use the division method.
Prime factorisation of \(60\).

Division method for 60 - 91Ó°ÊÓ Originals
\[60 = 2 \times 2 \times 3 \times 5 = 2^2 \times 3 \times 5\]
The prime factors of \(60\) are \(2\), \(3\) and \(5\).
Prime factorisation of \(96\).

Division method for 96 - 91Ó°ÊÓ Originals
\[96 = 2 \times 2 \times 2 \times 2 \times 2 \times 3 = 2^5 \times 3\]
The prime factors of \(96\) are \(2\) and \(3\).
The HCF is the product of the smallest power of each common prime factor. The common prime factors of \(60\) and \(96\) are \(2\) and \(3\). Thus,
\[\text{HCF}(60, 96) = 2^2 \times 3^1 = 4 \times 3 = 12\]
Therefore, the highest common factor between \(60\) and \(96\) is \(12\).
Lowest Common Multiple (LCM)
In addition, we can also determine the lowest common multiple (LCM) shared between two numbers using prime factorisation. Again, we must find the prime factorisation for a given pair of numbers, say \(x\) and \(y\). The LCM of \(x\) and \(y\) is the product of the greatest power of each common prime factor. Here is an example to demonstrate this.
More information on this topic can be found in the article: Lowest Common Multiple.
Find the LCM of \(78\) and \(152\).
Solution
Let us first find the prime factorisation of \(78\) and \(152\). Again note that you can use either method here. For this example, we shall use the division method.
Prime factorisation of \(78\).

Division method for 78 - 91Ó°ÊÓ Originals
\[78 = 2 \times 3 \times 13\]
The prime factors of \(78\) are \(2\), \(3\) and \(13\).
Prime factorisation of \(152\).

Division method for 152 - 91Ó°ÊÓ Originals
\[152 = 2 \times 2 \times 2 \times 19 = 2^3 x 19\]
The prime factors of \(152\) are \(2\) and \(19\).
The LCM is the product of the greatest power of each common prime factor. The only common prime factor between \(78\) and \(152\) is \(2\). Thus,
\[\text{LCM}(78, 152) = 2^3 = 8\]
Therefore, the lowest common multiple between \(78\) and \(152\) is \(8\).
Finding the Number of Factors
We can also use prime factorisation to deduce the number of factors of a given number. Note that it is possible to use both the factor tree method and the division method to perform this task. However, in most textbooks, the factor tree method is the more common choice for this job. Below are the four steps to this method.
Find the prime factorisation of the given number using the factor tree method (or division method);
Express this found product of primes in its corresponding exponent form;
Add 1 to each exponent;
Multiply the numbers found in Step 3. The result yields the number of factors of the given number.
To show this, let us look at the following worked example.
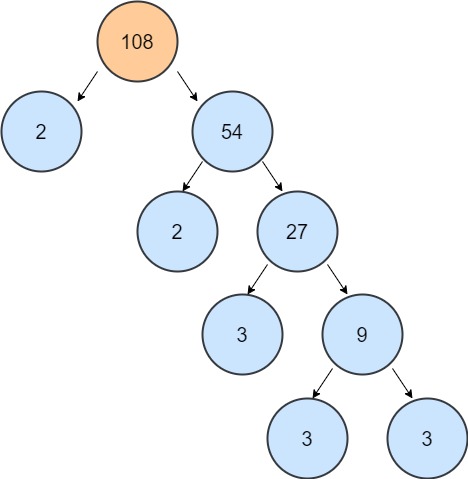
Find the number of factors for the number \(108\).
Solution
Let us use the factor tree method to find the prime factorisation of \(108\).

Factor tree method for 108 - 91Ó°ÊÓ Originals
Thus, the prime factorisation of \(108\) is \(108 = 2 \times 2 \times 3 \times 3 \times 3\).
In exponent form, we obtain \(108 = 2^2 \times 3^3\).
Here, we have the following values of exponents.
Exponent for \(2 = 2\)
Exponent for \(3 = 3\)
Now, adding \(1\) into each of these exponents yields
Exponent for \(2 + 1 = 3\)
Exponent for \(3 + 1 = 4\)
Multiplying these numbers, we obtain
\[3 \times 4 = 12\]
Thus, the number \(108\) has \(12\) factors.
Check
Let us very if our result is correct. Using the multiplication method, we may write 108 as the following products of two numbers.
\[1 \times 108 = 108\]
\[2 \times 54 = 108\]
\[3 \times 36 = 108\]
\[4 \times 27 = 108\]
\[6 \times 18 = 108\]
\[9 \times 12 = 108\]
The factors of \(108\) are \(1\), \(2\), \(3\), \(4\), \(6\), \(9\), \(12\), \(18\), \(27\), \(36\), \(54\) and \(108\). Thus, the number \(108\) has a total of \(12\) factors, as declared.
Worked Examples
Here are a few more worked examples demonstrating the two techniques of prime factorisation. We shall be applying both methods for the examples below to give us a better understanding of each approach.
Find the prime factorisation of \(320\).
Division Method

Division method for 320 - 91Ó°ÊÓ Originals
\[320 = 2 \times 2 \times 2 \times 2 \times 2 \times 2 \times 5 = 2^6 \times 5\]
Factor Tree Method

Factor tree method for 320 - 91Ó°ÊÓ Originals
\[320 = 2 \times 2 \times 2 \times 2 \times 2 \times 2 \times 5 = 2^6 \times 5\]
The results are the same!
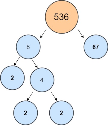
Find the prime factorisation of \(536\).
Division Method

Division method for 536 - 91Ó°ÊÓ Originals
\[536 = 2 \times 2 \times 2 \times 67 = 2^3 \times 67\]
Factor Tree Method

Factor tree method for 536 - 91Ó°ÊÓ Originals
\[536 = 2 \times 2 \times 2 \times 67 = 2^3 \times 67\]
The results are the same!
Prime Factorization - Key takeaways
- Prime factorisation is the process of writing a number as a product of its prime factors.
- Division method for prime factorisation
Divide the given number by the smallest prime number;
Divide the quotient of Step 1 by the smallest prime number again;
Repeat Step 2 until the quotient equals \(1\);
Multiply all the resulting prime factors.
- Factor tree method for prime factorisation
Write the number at the top of the factor tree;
Express the number as a product of two factors branching out of the tree;
Further branch out each of these factors found in Step 2 as a product of two factors;
Repeat Step 3 until we are unable to branch out each factor;
Define the given number as a composite of its prime factors in exponent form.
- The HCF of two numbers is the product of the smallest power of each common prime factor.
- The LCM of two numbers is the product of the greatest power of each common prime factor.
- Finding the number of factors of a number using prime factorisation
Find the prime factorisation of the given number;
Express this found product of primes in its corresponding exponent form;
Add 1 to each exponent;
Multiply the numbers found in Step 3. The result yields the number of factors of the given number.