Operations with polynomials comprise all the arithmetic operations that you can perform with polynomials, including addition, subtraction, multiplication, and division.
Now we will show you the different methods available to solve arithmetic operations with polynomials.
Adding or Subtracting Polynomials
There are two different methods that you can use to add or subtract polynomials, which are horizontal and vertical.
Horizontal Method
To add polynomials horizontally, you can use the distributive property to combine like terms so that you end up with only one term for each exponent, like this:
Add the polynomials and.
When adding polynomials we don't need to use parentheses because addition does not change the signs with the distributive property, so we can drop the parentheses as shown below. Now you can combine like terms
The resulting polynomial is:
Vertical Method
The vertical method is to stack the polynomials one on top of the other so that you can see the like terms more easily. In this case, you need to complete the missing terms assuming that they have a coefficient of zero (0):
+

You can see that the result is the same as before, but this method gives you a more organized way to identify like terms and avoids confusion.
To subtract polynomials, you can follow the same methods, but remember to be careful with the signs. To avoid mistakes when subtracting polynomials, change the signs of all the terms in the second polynomial, and then add like terms as before.
Changing the signs of all the terms in a polynomial is called finding its additive inverse.
Now we will subtract the same polynomials that we used in the previous example:
Subtract the polynomials and .
Horizontal method
Change the signs of all the terms in the second polynomial.
Combine like terms.
Vertical method
Change the signs of the second polynomial

Add like terms.
Multiplying polynomials
To multiply polynomials you can also follow a horizontal and a vertical method. Here is an example of the multiplication of two polynomials using both methods.
Multiply and using the horizontal and vertical methods.
Horizontal method
Multiply each term in the first polynomial by the second polynomial (distributive property)
Expand brackets and combine like terms
Vertical method
______________
Multiply by
Multiply by
______________
Add like terms
Regardless of what method you use, you should get the same result!
Dividing Polynomials
To divide polynomials you can use the long division or the synthetic division methods.
Long Division Method
Here is an example of the steps that you need to follow to divide polynomials using the long division method.
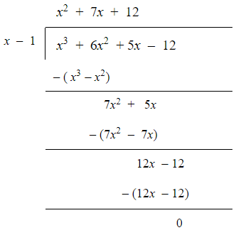
Divide by using long division.
Before we start, we need to identify each part of the division. is the dividend, is the divisor, and the result is called the quotient. Whatever is left at the end is the remainder.
Remember to complete any missing terms in the dividend with coefficient zero so that the polynomial is in decreasing order of exponents.
- First of all, divide the first term of the dividend by the first term of the divisor, then put the result as the first term of the quotient.
- Multiply the first term of the quotient by both terms in the divisor, and place the results under the dividend lined up with their corresponding exponent.
- Subtract like terms, being careful with the signs.
- Bring down the next term in the polynomial (dividend).
- Repeat steps 1 - 4 until the degree of the expression in the remainder is lower than the one of the divisor.

Complete missing terms with coefficient zero.
Subtract like terms.
Bring down 0x.
Subtract like terms.
Bring down –36.
Subtract like terms.
The remainder is zero.
The result can be expressed in the following way: .
Synthetic Division Method
Now we will solve the same example as before using synthetic division.
Divide by using synthetic division.
You can use synthetic division in this case, because the divisor is a linear expression (with a degree of 1).
The Remainder Theorem states that if a polynomial is divided by , then the remainder . Therefore, we can solve this division by evaluating the polynomial (dividend) using synthetic substitution when .
If you need to refresh on how to evaluate polynomials using this method, check out the article about Evaluating and Graphing Polynomials.
- The divisor is , therefore we evaluate the dividend when .

- Bring down the leading coefficient below the horizontal line. Multiply the leading coefficient by the value of x. Write down the result of the multiplication just under the following coefficient. Then, add the values in the second column taking into account their signs.

- Multiply the result of the addition by the value of x, and put the result of the multiplication just under the following coefficient. Then, add the values taking into account their signs. Repeat this step for all the coefficients.


The final value below the horizontal line will be the value of .
, therefore the remainder of the division is zero (0).
The result is: .
The degree of the polynomial in the quotient will be one less than the degree of the polynomial in the dividend.
How to Factor Polynomials
Factoring polynomials involves rewriting polynomials as the product of two or more simpler terms. You need to approach these problems differently, depending on the degree of the polynomial and the coefficient of the term with the highest power:
Factor .
Find the factors of 6 that when multiplied equal +6 and when added equal +5. In this case, the factors that match the requirements are 2 and 3.
Now to find the solutions that make the equation above equal to zero, we need to consider the zero product property.
The zero product property states that if , then either , or or both.
So, we need to make each factor in equal to zero, and solve for x.
Factor .
1. Multiply the coefficient of and the constant.
2. Find the factors of 30.
If the sign of the constant is positive, you need to find the factors of 30 that give the coefficient of x when added together. If the sign of the constant is negative, you need to include the factors of 30 that give the coefficient of x when subtracted.
The factors of 30 that give 13 when added together are 3 and 10.
3. Copy the term and the constant as in the original polynomial, and in between these terms, add the factors found in the previous step.
4. Factor by grouping the first two terms and the last two terms.
Pull out common factors from both groups.
Now that the terms in the parentheses match, takeout as a common factor. Make each factor in equal to zero, and solve for x.
The two solutions are and .
- If the degree is greater than 2: In this case, you might need to pull out common factors, if possible, and also use factor by grouping.
Factor .
x is a common factor.
Now follow the steps from the previous case when the degree is 2, and the coefficient of is not 1.
The factors of 24 that give 11 when added together are 3 and 8.
Now factor by grouping the expression inside the parentheses.
Make each factor in equal to zero, and solve for x.
The solutions are, and.
How Can You Simplify Polynomials?
To simplify fractional algebraic expressions containing polynomials, you need to factor the numerator and denominator, then cancel common factors.
Simplify the following fractions:
- Cancel the common factor .
Cancel the common factor .
Cancel the common factor .
The factors of 12 that give 7 when added together are 3 and 4.
Now factor by grouping and pull out common factors.
Going back to the fraction:
Canceling the common factor.
How to Use the Factor Theorem with Polynomials
The factor theorem can be used to speed up the factoring process. It states that if you substitute a value p in a polynomial function f(x) and it gives zero as a result f(p) = 0, then you can say that (x – p) is a factor of f(x).
It is especially useful in the case of cubic polynomials, and you can proceed as follows:
- Show that is a factor of .
is indeed a factor of
- Show that is a factor of .
Divide the f (x) by (x – p)

Write f (x) as
Factor the remaining quadratic
Make each factor in equal to zero, and solve for x.
The solutions are , , and .
Operations with Polynomials - Key takeaways
- To add, subtract and divide polynomial expressions, complete any missing terms assuming that they have coefficient zero.
- To add, subtract and multiply polynomials, you can follow the horizontal or vertical methods.
- To divide polynomials, you can use the long division or synthetic division methods.
- Factoring polynomials involves rewriting them as the product of two or more simpler terms.
- To simplify fractional algebraic expressions containing polynomials, factor the numerator and denominator, then cancel common factors.
- The factor theorem can be used to speed up the factoring process, especially in the case of cubic polynomials.