Chapter 8: Q39E (page 340)
The wave functions for the ground and first excited states of a simple harmonic oscillator are and. Suppose you have two particles occupying these two states.
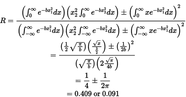
(a) If distinguishable, an acceptable wave function would berole="math" localid="1659955524302" . Calculate the probability that both particles would be on the positive side of the origin and divide by the total probability for both being found over all values of,. (This kind of normalizing-as-we-go will streamline things.)
(b) Suppose now that the particles are indistinguishable. Using thesymbol to reduce your work. calculate the same probability ratio, but assuming that their multiparticle wave function is either symmetric or antisymmetric. Comment on your results.
Short Answer
(a) The probability ratio is
(b) The probability for symmetry isand for anti symmetry is


