Chapter 11: Q11.2P (page 553)
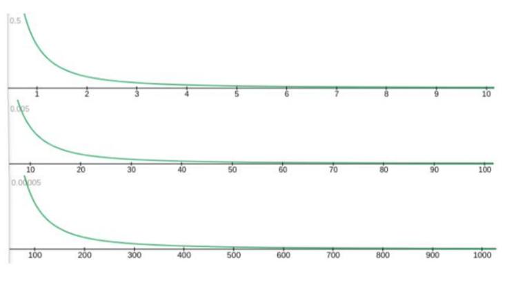
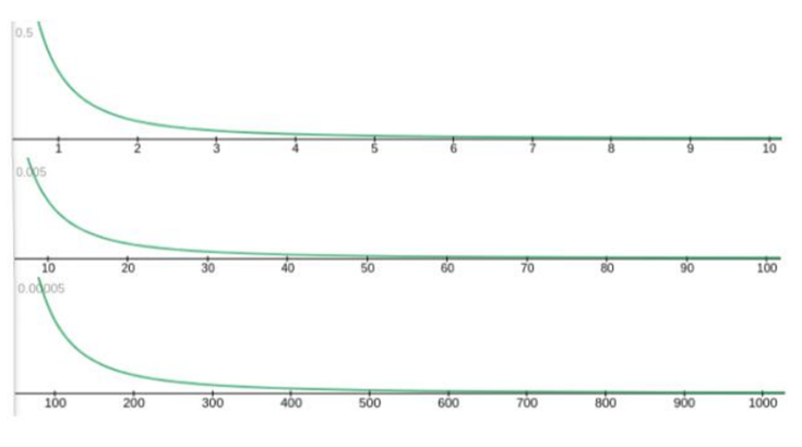
(a) To see the results in Problem 1graphically, computer plot the percentage error in Stirling’s formula as a function of p for values of p = 1-1000. Make separate plots, say for p = 1-10, 10-100, 100-1000, to make it easier to read values from your plots.
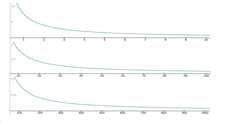
(b) Repeat part (a) for the percentage error in (11.5) using two terms of the asymptotic series, that is, Stirling’s formula times.
Short Answer
The graph is shown below.
a)

b)


