Chapter 12: Electrodynamics and Relativity
Q55P
Work out, and interpret physically, the component of the electromagnetic force law, Eq. 12.128.
Q56P
You may have noticed that the four-dimensional gradient operator functions like a covariant 4-vector—in fact, it is often written , for short. For instance, the continuity equation, , has the form of an invariant product of two vectors. The corresponding contravariant gradient would be . Prove that is a (contravariant) 4-vector, if is a scalar function, by working out its transformation law, using the chain rule.
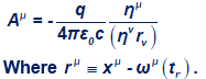
Q57P
Show that the potential representation (Eq. 12.133) automatically satisfies
[Suggestion: Use Prob. 12.54.]
Q58P
Show that the Liénard-Wiechert potentials (Eqs. 10.46 and 10.47) can be expressed in relativistic notation as

Q5P
Synchronized clocks are stationed at regular intervals, a million apart, along a straight line. When the clock next to you reads 12 noon:
(a) What time do you see on the clock down the line?
(b) What time do you observe on that clock?
Q60P
Calculate the threshold (minimum) momentum the pion must have in order for the process to occur. The proton p is initially at rest. Use localid="1654341712179" (all in MeV). [Hint: To formulate the threshold condition, examine the collision in the center-of-momentum frame (Prob. 12.31). Answer: 1133 MeV/c]
Q61P
A particle of mass m collides elastically with an identical particle at rest. Classically, the outgoing trajectories always make an angle of . Calculate this angle relativistically, in terms of , the scattering angle, and v, the speed, in the center-of-momentum frame.
Q62P
Find x as a function of t for motion starting from rest at the origin under the influence of a constant Minkowski force in the x direction. Leave your answer in implicit form (t as a function of x).[Answer:
Q64P
An ideal magnetic dipole moment m is located at the origin of an inertial system that moves with speed v in the x direction with respect to inertial system S. In the vector potential is
(Eq. 5.85), and the scalar potential is zero.
(a) Find the scalar potential V in S.
(b) In the nonrelativistic limit, show that the scalar potential in S is that of an ideal electric dipole of magnitude
located at .

Q65P
Question: A stationary magnetic dipole, , is situated above an infinite uniform surface current, (Fig. 12.44).
(a) Find the torque on the dipole, using Eq. 6.1.
(b) Suppose that the surface current consists of a uniform surface charge , moving at velocity , so that , and the magnetic dipole consists of a uniform line charge , circulating at speed (same ) around a square loop of side I , as shown, so that .Examine the same configuration from the point of view of system, moving in the direction at speed . In , the surface charge is at rest, so it generates no magnetic field. Show that in this frame the current loop carries an electric dipole moment, and calculate the resulting torque, using Eq. 4.4.