Chapter 3: Q4E (page 129)
Suppose thatXandYhave a continuous joint distribution for which the joint p.d.f. is defined as follows:

Determine (a) the value of the constant c;

Short Answer
a. The value of the constant is 1.5.
b. The probability is 0.375.
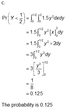
c. The probability is 0.125.
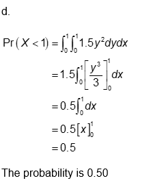
d. The probability is 0.50.
e. The probability is 0.00.




