Chapter 3: Q1E (page 129)
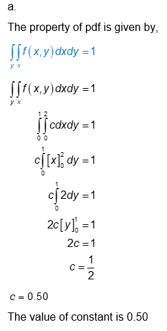
Suppose that the joint p.d.f. of a pair of random variables (X,Y) is constant on the rectangle where 0≤x≤2 and 0≤ y ≤ 1, and suppose that the p.d.f. is 0 off of this rectangle.
a. Find the constant value of the p.d.f. on the rectangle.
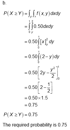
b. Find Pr (X≥Y)
Short Answer
a. The constant value is 0.50
b. The probability is 0.75


