Chapter 5: Q. 10 (page 345)
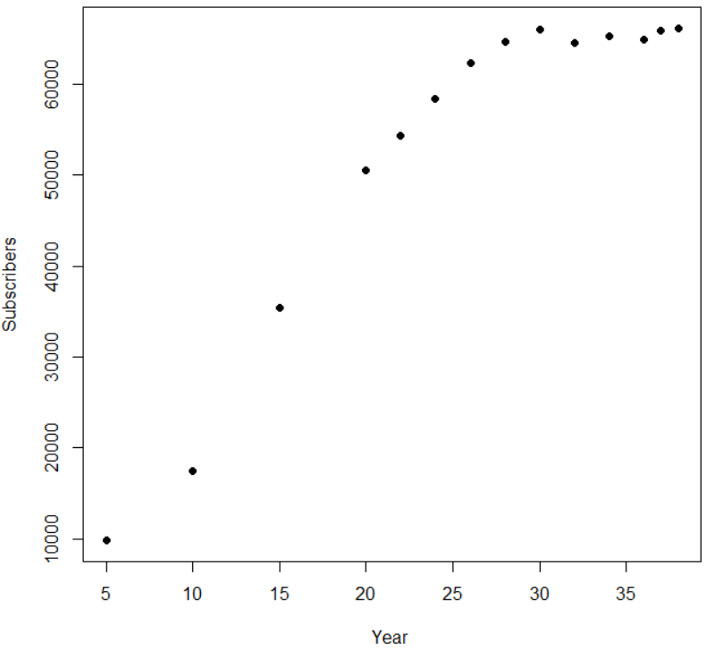
Cable Subscribers The following data represent the number of basic cable TV subscribers in the United States. A market researcher believes that external factors, such as satellite TV, have affected the growth of cable subscribers. She is interested in building a model that can be used to describe the number of cable TV subscribers in the United States.
(a) Using a graphing utility, draw a scatter diagram of the data using the number of years after 1970, t, as the independent variable and number of subscribers as the dependent variable.
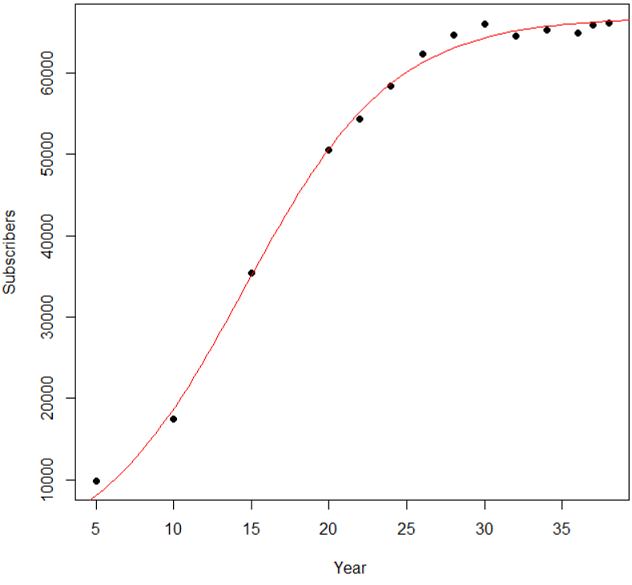
(b) Using a graphing utility, build a logistic model from the data.
(c) Using a graphing utility, draw the function found in part (b) on the scatter diagram.
(d) Based on the model found in part (b), what is the maximum number of cable TV subscribers in the United States?
(e) Use the model found in part (b) to predict the number of cable TV subscribers in the United States in 2015.

Short Answer
(a) The scatter diagram is shown in step 1.
(b) The logistic model is of the form
(c) The scatter diagram of logistic model is shown in step 4.
(d) The maximum number of Cable TV subscribers is 66,893.
(e) The number of cable TV subscribers in the United States in 2015 is 66,776


