Chapter 4: Q.4.89 (page 181)

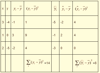
a. Compute the three sums of square SST,SSR, SSE using defining formulas
b. Verify the regression identity,
c. Compute the coefficient of determination.
d. Determine the percentage of variation in the observed values of the response variable that is explained by the regression.
e. State how useful the regression equation appears to be for making predictions.
Short Answer
(a)
(b)
(c) The coefficient of determination
(d) The percentage of variation is
(e) It is moderately useful for the regression equation appears to be for making predictions.





