Chapter 4: Q. 4.9 (page 181)
We repeat the data and provide the regression equations.
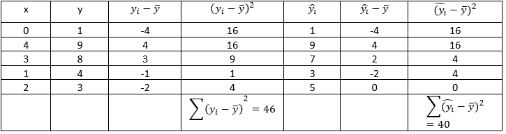
Part (a): Compute the three sums of squares, SST, SSR and SSE using the defining formulas.
Part (b): Verify the regression identity,.
Part (c): Compute the coefficient of determination.
Part (d): Determine the percentage of variation in the observed values of the response variable that is explained by the regression.
Part (e): State how useful the regression equation appears to be for making predictions.
Short Answer
Part (a): The three sums of squares, SST, SSR and SSE are 48,40and 8respectively.
Part (b): Substitute the values of SSR and SSE in the formula of SST, to verify the given regression identity.
Part (c): The coefficient of determination is 0.869.
Part (d): The percentage of variation in the observed values of the response variable that is explained by the regression is 86.9%.
Part (e): The regression is useful for making predictions.


