Chapter 5: Q. 5.11 (page 218)
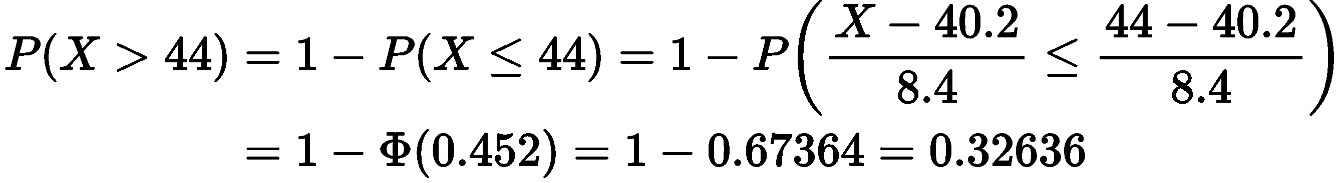
The annual rainfall in Cleveland, Ohio, is approximately a normal random variable with mean 40.2 inches and standard deviation 8.4 inches. What is the probability that (a) next year’s rainfall will exceed 44 inches? (b) the yearly rainfalls in exactly 3 of the next 7 years will exceed 44 inches? Assume that if Ai is the event that the rainfall exceeds 44 inches in year i (from now), then the events Ai, i Ú 1, are independent.
Short Answer
The result is
(a) 0.32636
(b) 0.25

