Chapter 7: Q3P (page 374)
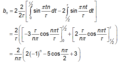
In problem 1to 3, the graphs sketched represent one period of the excess pressure p(t)in a sound wave. Find the important harmonics and their relative intensities. Use a computer to play individual terms or a sum of several terms of the series.

Short Answer
The relative intensities of the harmonics are
1 | 2 | 3 | 4 | 5 | 6 | 7... | |
Relative intensities | 1 | 25 | 1/9 | 0 | 1/25 | 25/9 | 1/49…. |



