Chapter 7: Q2P (page 373)
In problem 1to 3, the graphs sketched represent one period of the excess pressure p(t)in a sound wave. Find the important harmonics and their relative intensities. Use a computer to play individual terms or a sum of several terms of the series.

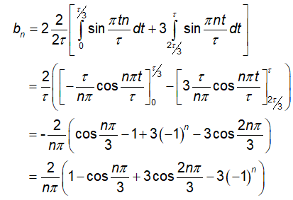
Short Answer
The relative intensities of the harmonics are
n | 1 | 2 | 3 | 4 | 5… |
Relative intensities | 1 | 9/16 | 16/9 | 9/64 | 1/25… |


is and if we normalize the expression of an by that value we get the series
