Chapter 7: Q23P (page 371)
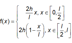
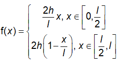
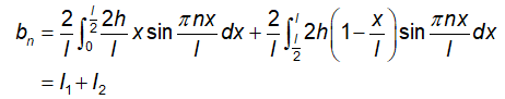
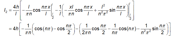
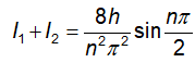
If a violin string is plucked (pulled aside and let go), it is possible to find a formula f(x, t) for the displacement at time t of any point x of the vibrating string from its equilibrium position. It turns out that in solving this problem we need to expand the function f(x, 0), whose graph is the initial shape of the string, in a Fourier sine series. Find this series if a string of length l is pulled aside a small distance h at its center, as shown.

Short Answer
The Fourier sine series for a violin string is 







