Chapter 7: Q21P (page 371)
In Problems 17 to 22 you are given f(x) on an interval, say 0 < x < b. Sketch several periods of the even function fcof period 2b, the odd function fsof period 2b, and the functionfp of period b, each of which equals f(x)on 0 < x < b . Expand each of the three functions in an appropriate Fourier series.
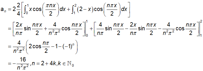
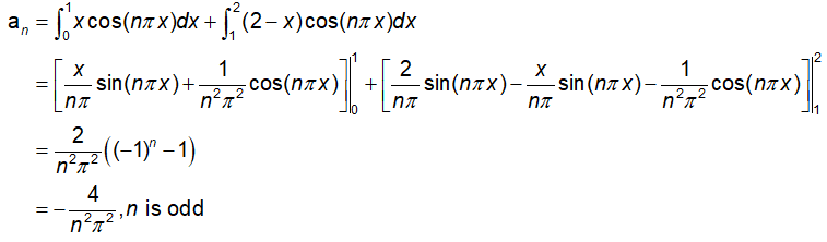
21.
Short Answer
The even function is
, the odd function is
and the proper function is
The graph of these functions is shown below:










the odd function
and the function
on the graph as: