Chapter 8: Q5E (page 527)
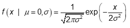
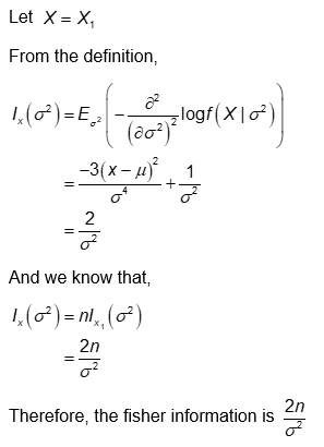
Suppose that a random variable X has the normal distribution with mean 0 and unknown variance σ2> 0. Find the Fisher information I(σ2) in X. Note that in this exercise, the variance σ2 is regarded as the parameter, whereas in Exercise 4, the standard deviation σ is regarded as the parameter.
Short Answer
The fisher information is 2n/ σ2


